| ChemWhat Code |
Molecular Structure |
Product Information |
| 980104 |
 |
Pyrazinecarboxamide, N-cyclopentyl-N-[(9-methyltetrazolo[1,5-a]quinolin-4-yl)methyl]- (9CI) CAS#: 603949-47-9 |
| 968455 |
 |
(6-PHENYLIMIDAZO[2,1-B][1,3]THIAZOL-3-YL)ACETIC ACID CAS#: 68347-91-1 |
| 994602 |
 |
1-(4-BUTYLPHENYL)-2,5-DIMETHYL-1H-PYRROLE-3-METHANOL CAS#: 678158-26-4 |
| 993218 |
 |
Piperazine, 2-(methoxymethyl)-, (2R)- (9CI) CAS#: 660862-81-7 |
| 985502 |
 |
4-(2,2-DIMETHYL-3-OXO-PIPERAZIN-1-YL)-4-OXO-BUTYRIC ACID CAS#: 626223-70-9 |
| 986080 |
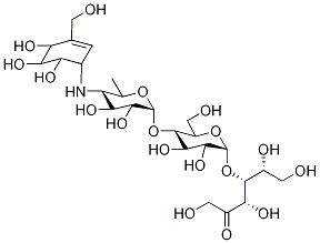
 |
Acarbose 1,1-α,α-Glycoside IMpurity CAS#: 610271-07-3 |
| 953230 |
 |
2(3H)-Benzofuranone, 3,5-dimethyl- CAS#: 65817-25-6 |
| 982350 |
 |
Pyrazolo[5,1-b]quinazolin-9-ol, 2-(3,5-dimethoxyphenyl)-5,6,7,8-tetrahydro- (9CI) CAS#: 606116-46-5 |
| 997800 |
 |
2-Butanone, 3-amino-4-hydroxy-3-methyl- (9CI) CAS#: 684642-58-8 |
| 981346 |
 |
1-Piperidinecarbothioamide,3-(5-chloro-1H-benzimidazol-2-yl)-N-(3,5-dimethylphenyl)-(9CI) CAS#: 606090-35-1 |