| ChemWhat Code |
Molecular Structure |
Product Information |
| 953860 |
 |
2,3-DIHYDRO-2’H,5’H-SPIRO[CHROMENE-4,4′-IMIDAZOLIDINE]-2′,5′-DIONE CAS#: 66892-54-4 |
| 982286 |
 |
Urea, N-[(2-chloro-6,8-dimethyl-3-quinolinyl)methyl]-N-(2-methylphenyl)-N-2-propenyl- (9CI) CAS#: 606116-59-0 |
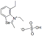
| 956184 |
 |
ethyl 3-ethyl-2-methylbenzoselenazolium sulphate CAS#: 66142-22-1 |
| 991226 |
 |
1-Acenaphthenone,5-methyl-,oxime(5CI) CAS#: 648870-17-1 |
| 997734 |
 |
2H-Pyrrole-4-thiol,5-(dimethylamino)-3,4-dihydro-(9CI) CAS#: 685082-50-2 |
| 986669 |
 |
3-(4-BROMOPHENYL)-1-(3-CHLOROPHENYL)-1H-PYRAZOLE-5-CARBOXYLIC ACID CAS#: 618102-65-1 |
| 993195 |
 |
Bicyclo[2.2.1]heptan-2-one, 3-acetyl-1,7,7-trimethyl-, (1R,3R,4R)- (9CI) CAS#: 661459-82-1 |
| 980040 |
 |
Cyclohexanamine, N-(2-cyclopentylideneethyl)- (9CI) CAS#: 603962-86-3 |
| 963351 |
 |
1,9-Dihydroxy-3,7-dioxanonane, 2,2μ-(Trimethylenedioxy)diethanol CAS#: 67439-82-1 |
| 969740 |
 |
3-Iodo-4-(4-methoxyphenoxy)-2(1H)-quinolinone CAS#: 68903-79-7 |