| ChemWhat Code |
Molecular Structure |
Product Information |
| 970213 |
 |
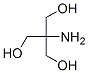
Hectorite, 2-amino-2-(hydroxymethyl)-1,3-propanediol-modified CAS#: 68511-77-3 |
| 991082 |
 |
3-FLUORO-4-(METHYLSULFONYL)PHENYLBORONIC ACID CAS#: 648904-83-0 |
| 956011 |
 |
ETHYL NICOTINATE-2,4,5,6-D4 CAS#: 66148-16-1 |
| 979911 |
 |
5-ISOPROPYL-4-PROPYL-4H-1,2,4-TRIAZOLE-3-THIOL CAS#: 603981-94-8 |
| 950917 |
 |
(2aS)-3β,5β-Diacetoxy-2a,7α,10,10cβ-tetramethyl-2,2a,3,4,4aα,5,6,7,7aα,8,10bβ,10c-dodecahydronaphth[2,1,8-cde]azulene CAS#: 65118-73-2 |
| 981144 |
 |
Urea, N-[2-(1H-benzimidazol-2-yl)ethyl]-N-cyclopentyl-N-phenyl- (9CI) CAS#: 606090-92-0 |
| 975267 |
 |
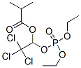
Phosphoric acid diethyl 1-(isobutyryloxy)-2,2,2-trichloroethyl ester CAS#: 69382-24-7 |
| 953018 |
 |
2,2′-Sulfinylbis[N-(1-methylethyl)benzamide] CAS#: 65838-71-3 |
| 963904 |
 |
6-Hydroxy-15-[(Z)-1-hydroxy-2-methylpropylidene]-11α,12α-bis(2-methyl-1-oxopropoxy)phragmalin 3,30-diacetate CAS#: 67895-38-9 |
| 953719 |
 |
N-[4-[Bis(2-cyanoethyl)amino]phenyl]-9,10-dihydro-4-hydroxy-9,10-dioxo-1-anthracenesulfonamide CAS#: 66903-22-8 |