| ChemWhat Code |
Molecular Structure |
Product Information |
| 997277 |
 |
2-Pyridinecarboxylicacid,5-methoxy-,1-oxide(9CI) CAS#: 672957-93-6 |
| 963882 |
 |
N-(2-Hydroxyethyl)azetidine CAS#: 67896-18-8 |
| 975248 |
 |
1-BROMO-2,4-DIMETHYL-5-NITROBENZENE CAS#: 69383-59-1 |
| 990445 |
 |
1,2-BIS((2R,5R)-2,5-DIMETHYLPHOSPHOLANO& CAS#: 638132-66-8 |
| 942282 |
 |
4,5-dihydroxyphthalic acid CAS#: 63958-66-7 |
| 979892 |
 |
1H-Indene,2-fluoro-2,3-dihydro-1-methylene-(9CI) CAS#: 603985-53-1 |
| 997583 |
 |
3H-1,2,4-Triazol-3-one,1,2-dihydro-5-(1-piperidinyl)-(9CI) CAS#: 685121-05-5 |
| 963177 |
 |
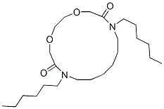
1,4-Dioxa-7,14-diazacyclohexadecane-6,15-dione, 7,14-dihexyl- CAS#: 67456-24-0 |
| 952999 |
 |
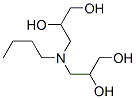
3,3′-(butylimino)bispropane-1,2-diol CAS#: 65838-95-1 |
| 981120 |
 |
Urea, N-[2-(1H-benzimidazol-2-yl)ethyl]-N-(4-methylphenyl)-N-[(4-methylphenyl)methyl]- (9CI) CAS#: 606090-96-4 |