| ChemWhat Code |
Molecular Structure |
Product Information |
| 976892 |
 |
Quinoline, 1-(ethoxyacetyl)-1,2,3,4-tetrahydro- (9CI) CAS#: 600140-12-3 |
| 993077 |
 |
tert-butyl 6-oxo-3-aza-bicyclo[3.2.0]heptane-3-carboxylate CAS#: 663172-80-3 |
| 970061 |
 |
Soybean oil,tung oil,glycerin,phthalic anhydride,vinyltoluene,styrene polymer CAS#: 68514-01-2 |
| 939968 |
 |
N-butyl-4,6-dichloro-N-(2,2,6,6-tetramethyl-4-piperidyl)-1,3,5-triazin-2-amine CAS#: 63812-63-5 |
| 990323 |
 |
Benzamide, N-(1-methyl-1H-tetrazol-5-yl)-2-nitro- (9CI) CAS#: 638147-41-8 |
| 969346 |
 |
Fatty acids, tall-oil, reaction products with polyalkylenepolyamines, compds. with linoleic acid dimer and tall-oil fatty acids CAS#: 68910-90-7 |
| 975091 |
 |
allantoxanamide CAS#: 69391-08-8 |
| 963721 |
 |
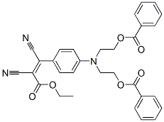
ethyl 3-[4-[bis[2-(benzoyloxy)ethyl]amino]phenyl]-2,3-dicyanoacrylate CAS#: 67905-18-4 |
| 968116 |
 |
1-[(2H3)Methyl]aziridine-2-carbonitrile CAS#: 68375-85-9 |
| 967877 |
 |
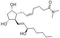
N,N-DIMETHYL-9ALPHA, 11ALPHA, 15S-TRIHYDROXY-PROSTA-5Z, 13E-DIEN-1-AMIDE CAS#: 68192-15-4 |