| ChemWhat Code |
Molecular Structure |
Product Information |
| 969231 |
 |
3a,4,5,6,7,7a-hexahydro-4,7-methano-1H-indenyl propionate CAS#: 68912-13-0 |
| 996503 |
 |
Oxiranecarboxylic acid, 2-(trifluoromethyl)-, (2R)- (9CI) CAS#: 693287-31-9 |
| 939855 |
 |
2-METHYL-3-SULFOBUTYL-5-TRIFLUOROMETHYL-BENZIMIDAZOLIUM INNER SALT CAS#: 63815-69-0 |
| 972600 |
 |
2-(2-hydroxypropyl)-1-methylethyl salicylate CAS#: 68683-31-8 |
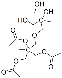
| 961637 |
 |
2,2′-[oxybis(methylene)]bis[2-(hydroxymethyl)propane-1,2-diol] triacetate CAS#: 67759-32-4 |
| 950520 |
 |
Z-7-TETRADECENAL CAS#: 65128-96-3 |
| 936607 |
 |
S-[2-(dimethylamino)ethyl] butanethioate CAS#: 63512-62-9 |
| 942298 |
 |
10,11-Dihydro-2-(1-pyrrolidinylmethyl)-5H-dibenz[b,f]azepine CAS#: 64097-59-2 |
| 980784 |
 |
Urea, N-cyclopentyl-N-[2-(5,6-dimethyl-1H-benzimidazol-2-yl)ethyl]-N-(phenylmethyl)- (9CI) CAS#: 606091-61-6 |
| 997091 |
 |
5-BROMO-1H-1,2,4-TRIAZOLE-3-CARBOXYLIC ACID CAS#: 674287-63-9 |