• About ChemWhat
  • ChemWhat News
  • Unreliable Entity List (UEL)
  • ChemWhat Reagents
  • IVD Service
  • Contact Us
English Deutsch Français
Español Português Italiano
polski Русский Українська
हिन्दी اردو বাংলা
العربية فارسی‎ עברית
Türkçe 한국어 Indonesia
日本語 繁體中文 简体中文

Category: 6

ChemWhat Code Molecular Structure Product Information
949847 [[amino-(butyl-nitro-amino)methylidene]amino]-hydroxy-oxo-azanium CAS#: 64774-04-5
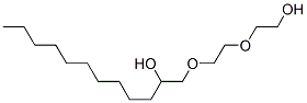
930092 1-[2-(2-hydroxyethoxy)ethoxy]dodecan-2-ol CAS#: 61625-13-6
994386 1-BOC-4-[(3-METHYLPHENYL)AMINO]-PIPERIDINE CAS#: 679409-60-0
941906 3-Methyl-9-propionyl-3,9-diazabicyclo[3.3.1]nonane CAS#: 63978-06-3
943437 SIBIRICINE CAS#: 64397-10-0
955644 2-Benzothiazolesulfenamide,N-propyl-(9CI) CAS#: 66552-53-2
949358 (4-hydrazinophenyl)acetic acid hydrochloride CAS#: 65476-32-6
942188 2-(2,6-DIMETHYLPHENOXY)ACETOHYDRAZIDE CAS#: 64106-78-1
927529 4-(2-METHYL-1,3-DIOXOLAN-2-YL)PYRIDINE CAS#: 60553-33-5
976699 1-(2-nitrophenyl)indoline-2-carboxylic acid CAS#: 600179-43-9
« Previous 1 … 921 922 923 924 925 … 5,626 Next »
  • Follow us by :

Copyright 2026 ChemWhat. Unit G25 Waterfront Studios, 1 Dock Road, London, E16 1AH, United Kingdom. D&B Number: 22-805-8882