| ChemWhat Code |
Molecular Structure |
Product Information |
| 1158522 |
 |
2-(2-ETHOXY-4-FORMYLPHENOXY)-N,N-DIMETHYLPROPANAMIDE CAS#: 733030-83-6 |
| 1169985 |
 |
2-Propenoicacid,3-(2-ethoxyphenyl)-2-methyl-(9CI) CAS#: 773120-24-4 |
| 1161656 |
 |
Benzamide, 4-(1-aminoethyl)-3-fluoro-N-4-pyridinyl-, (R)- (9CI) CAS#: 740064-43-1 |
| 1155324 |
 |
2-Thiazolamine, 5-methyl-4-propyl- CAS#: 716323-79-4 |
| 1146109 |
 |
Butanoic acid, 4-aMino-, phenylMethyl ester, hydrochloride CAS#: 78287-52-2 |
| 1172704 |
 |
4-(1H-iMidazol-1-yl)quinoline-3-carboxylic acid CAS#: 777810-90-9 |
| 1164935 |
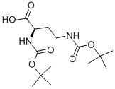
 |
(R)-2,4-BIS-TERT-BUTOXYCARBONYLAMINO-BUTYRIC ACID CAS#: 752986-92-8 |
| 1156713 |
 |
INDEX NAME NOT YET ASSIGNED CAS#: 725704-60-9 |
| 1175889 |
 |
3-(2,3-Dihydro-1,4-benzodioxin-6-yl)-1-[4-ethyl-2-(β-D-glucopyranosyloxy)-6-hydroxyphenyl]-1-propanone CAS#: 794564-44-6 |
| 1163039 |
 |
Imidazo[1,5-a]pyrazine-8(7H)-thione (9CI) CAS#: 746547-06-8 |