| ChemWhat Code |
Molecular Structure |
Product Information |
| 1112132 |
 |
N,N’-[(1,1,5,5-Tetramethyl-3,3-diphenyl-1,5-pentanetrisiloxanediyl)bis(oxy)]bis[N-ethylethanamine] CAS#: 72236-42-1 |
| 1102793 |
 |
4,5-METHYLENEDITHIO-1,3-DITHIOLE-2-THIONE CAS#: 70800-59-8 |
| 1109550 |
 |
bis(D-gluconato-O1,O2)nickel CAS#: 71957-07-8 |
| 1127884 |
 |
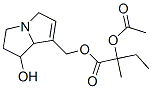
3-methylcyclohex-2-en-1-yl acetate CAS#: 75411-49-3 |
| 1107201 |
 |
4,4′-[1-(4-piperidyl)propane-1,3-diyl]bis(piperidine-1-ethanol) CAS#: 71412-24-3 |
| 1121624 |
 |
N-benzoylphenylalanyl-glycyl-proline CAS#: 74075-25-5 |
| 1122798 |
 |
Chromate(1-), [2,4-dihydro-4-[(2-hydroxy- 5-nitrophenyl)azo]-5-methyl-2-phenyl-3H-pyrazol -3-onato(2-)][2-[(4,5-dihydro-3-methyl-5-oxo-1-pheny l-1H-pyrazol-4-yl)azo]benzoato(2-)]-, hydrogen, compd. with 3-[(2-ethylhexyl)oxy]-1-propanamine (1:1) CAS#: 74411-39-5 |
| 1124441 |
 |
(1aS,8R,8aR,8bS)-6-Amino-8-[[(aminocarbonyl)oxy]methyl]-1,1a,2,8,8a,8b-hexahydro-8a-methoxy-1,5-dimethylazirino[2′,3′:3,4]pyrrolo[1,2-a]indole-4,7-dione CAS#: 74707-94-1 |
| 1112570 |
 |
2-(4-methylpiperazin-1-yl)-N-[(2,3,5,6-tetramethylphenyl)methylideneam ino]acetamide CAS#: 72606-36-1 |
| 1114181 |
 |
Methanone, cyclopentyl-1-pyrrolidinyl- CAS#: 72925-14-5 |