| ChemWhat Code |
Molecular Structure |
Product Information |
| 1179428 |
 |
2-methoxy-N,N,beta-trimethyl-10H-phenothiazine-10-propylamine CAS#: 851-68-3 |
| 1200938 |
 |
1H-1,2,3-TRIAZOLE-4-METHANOL CAS#: 84440-19-7 |
| 1204342 |
 |
octahydro-4,7-methano-1H-inden-5-yl isobutyrate CAS#: 84962-69-6 |
| 1206419 |
 |
uridine 5′-phospho-2-methylimidazolide CAS#: 85179-50-6 |
| 1186824 |
 |
(3S)-3-ISOPROPYL-1-METHYLPIPERAZINE CAS#: 80949-76-4 |
| 1218883 |
 |
3,5-dimethylhex-3-en-1-yne CAS#: 88245-74-3 |
| 1177749 |
 |
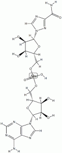
[[5-(4-amino-2-oxo-pyrimidin-1-yl)-3-hydroxy-oxolan-2-yl]methoxy-hydroxy-phosphoryl]oxyphosphonic acid CAS#: 800-73-7 |
| 1180399 |
 |
N-[4-[(4-Amino-3-sulfonatophenyl)(4-ethylamino-3-methyl-5-sodiosulfophenyl)methylene]-2-sodiosulfo-2,5-cyclohexadien-1-ylidene]aminium CAS#: 8017-21-8 |
| 1192914 |
 |
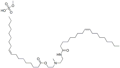
2-[2-(8-heptadecenyl)-4,5-dihydro-1H-imidazol-1-yl]ethyl oleate CAS#: 82799-41-5 |
| 1194604 |
 |
1H-[1,2,4]Triazepino[4,3-a]benzimidazole(9CI) CAS#: 83249-89-2 |