| ChemWhat Code |
Molecular Structure |
Product Information |
| 1211762 |
 |
3-nitrooxetane CAS#: 86632-92-0 |
| 1218640 |
 |
2-Aziridinecarboxamide,3-phenyl-,cis-(9CI) CAS#: 88286-06-0 |
| 1210165 |
 |
sodium 5-[(4-amino-2-chlorophenyl)azo]salicylate CAS#: 85720-89-4 |
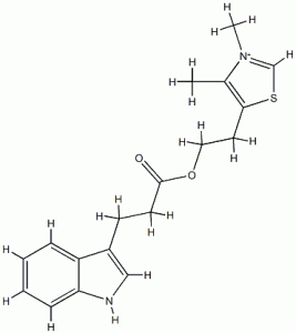
| 1182234 |
 |
1H-2-Oxa-7a-azacyclopent[cd]inden-1-one, 3-(acetyloxy)-4-ethylidene-2a,3,4,6,7,7b-hexahydro-, [2aS-(2a-alpha-,3-alpha-,4Z,7b-alpha-)]- (9CI) CAS#: 80152-08-5 |
| 1186712 |
 |
CARBAMIC ACID, METHYL-, 2-HYDROXY-3-(o-TOLYLOXY)PROPYL ESTER CAS#: 80985-74-6 |
| 1187962 |
 |
N-(6-Nitro-1,3-benzodioxol-5-yl)acetamide CAS#: 81864-14-4 |
| 1180330 |
 |
Beuthanasia Special CAS#: 8024-20-2 |
| 1183448 |
 |
1-(malonylamino)cyclopropane-1-carboxylic cid CAS#: 80550-27-2 |
| 1214739 |
 |
R(+)-7-CHLORO-8-HYDROXY-3-METHYL-1-PHENYL-2,3,4,5-TETRAHYDRO-1H-3-BENZAZEPINE HYDROCHLORIDE CAS#: 87134-87-0 |
| 1192453 |
 |
NALOXONAZINE DIHYDROCHLORIDE CAS#: 82824-01-9 |