| ChemWhat Code |
Molecular Structure |
Product Information |
| 1200424 |
 |
1H-Imidazo[4,5-e][2,1]benzisoxazole(9CI) CAS#: 84732-07-0 |
| 1187809 |
 |
2-Hydroxybenzaldehyde 1-phthalazinyl hydrazone CAS#: 81914-09-2 |
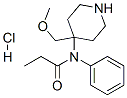
| 1211616 |
 |
1-Piperazinepropanamide, 4-methyl-N-(3-phenyl-5-isoxazolyl)- CAS#: 86683-47-8 |
| 1199057 |
 |
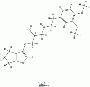
N2-(1-benzyl-4-piperidyl)butane-1,2-diamine CAS#: 84196-18-9 |
| 1185387 |
 |
4,7-Methano-1H-indene-5-acetonitrile,octahydro-,(3a-alpha-,4-bta-,5-bta-,7-bta-,7a-alpha-)-(9CI) CAS#: 81438-63-3 |
| 1182085 |
 |
3-Isoxazolecarbonyl chloride, 5-(chloromethyl)- (9CI) CAS#: 80173-68-8 |
| 1178494 |
 |
BUTTER CAS#: 8029-34-3 |
| 1209538 |
 |
Guanosine 5′-(tetrahydrogen triphosphate), 2′-deoxy-, trilithium salt CAS#: 85737-05-9 |
| 1192860 |
 |
4-Methoxyglucobrassicin CAS#: 83327-21-3 |
| 1192314 |
 |
(4,5,6,7-TETRAHYDRO-1H-PYRROLO[3,2-C]PYRIDIN-4-YL)-ACETIC ACID ETHYL ESTER CAS#: 82859-02-7 |