| ChemWhat Code |
Molecular Structure |
Product Information |
| 1199653 |
 |
2-(methylthio)-1H-imidazolium bromide CAS#: 84501-63-3 |
| 1178979 |
 |
trans-decahydro-1-methylquinoline CAS#: 875-63-8 |
| 1178374 |
 |
Balsams, tonka bean CAS#: 8046-22-8 |
| 1196276 |
 |
2-Propenyl, 3-(4-nitrophenyl)- (9CI) CAS#: 83966-43-2 |
| 1208127 |
 |
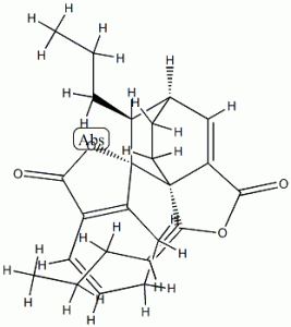
[1R,6R,(+)]-1α-[[(1S,4aR)-Decahydro-6β-hydroxy-5,5,8aβ-trimethyl-2-methylenenaphthalene-1β-yl]methyl]-5β-hydroxy-4-(hydroxymethyl)-7-oxabicyclo[4.1.0]hepta-3-ene-2-one CAS#: 85764-11-0 |
| 1191368 |
 |
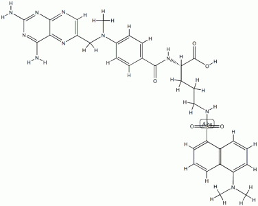
glucagon-like-immunoreactivity CAS#: 82905-30-4 |
| 1205337 |
 |
1-[(5,6,7-trichloro-1,9-dihydro-2-methyl-9-oxopyrazolo[5,1-b]quinazolin-3-yl)azo]anthraquinone CAS#: 85223-08-1 |
| 1194467 |
 |
tetrasodium 7-[[4-[[4-[(4-hydroxyphenyl)azo]-2-methylphenyl]azo]-7-sulphonato-1-naphthyl]azo]naphthalene-1,3,5-trisulphonate CAS#: 83733-25-9 |
| 1203399 |
 |
2,9-dimethyl-2,9-dipropyl-decanedioic acid CAS#: 85018-89-9 |
| 1189851 |
 |
3-(4-Nitrobenzyl)-5-hydroxy-3H-imidazole-4-carboxamide CAS#: 82439-87-0 |