• About ChemWhat
  • ChemWhat News
  • Unreliable Entity List (UEL)
  • ChemWhat Reagents
  • IVD Service
  • Contact Us
English Deutsch Français
Español Português Italiano
polski Русский Українська
हिन्दी اردو বাংলা
العربية فارسی‎ עברית
Türkçe 한국어 Indonesia
日本語 繁體中文 简体中文

Category: 8

ChemWhat Code Molecular Structure Product Information
1284847 6-CHLORO-1-(2-TRIFLUOROMETHOXYPHENYL)-1-OXOHEXANE CAS#: 898761-42-7
1261957 4-Chloro-3-cyanophenylboronic acid CAS#: 871332-95-5
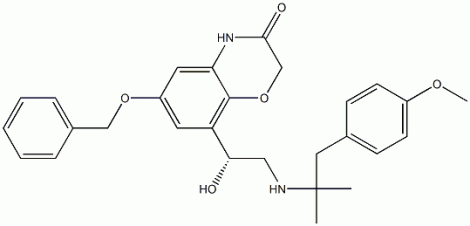
1259488 8-[(1R)-1-Hydroxy-2-[[2-(4-methoxyphenyl)-1,1-dimethylethyl]amino]ethyl]-6-(phenylmethoxy)-2H-1,4-benzoxazin-3(4H)-one CAS#: 869478-13-7
1265603 1-(2-PIPERIDIN-2-YL-ETHYL)-PYRROLIDIN-2-ONE CAS#: 876710-79-1
1281411 HO-PEG12-tBu CAS#: 892154-71-1
1269895 ETHANONE, 1-[4-[(3,5-DICHLORO-4-PYRIDINYL)OXY]PHENYL]-, 2-[4-(TRIFLUOROMETHYL)-2-PYRIDINYL]HYDRAZONE CAS#: 883044-91-5
1263931 3-(BENZYLCARBAMOYL)-4-FLUOROBENZENEBORONIC ACID CAS#: 874219-22-4
1274671 N-(4-CYANO-PHENYL)-2-(4-HYDROXY-PHENYL)-ACETAMIDE CAS#: 886362-48-7
1257974 Methyl 4-AMino-1-AdaMantane Carboxylate CAS#: 865980-54-7
1256206 LT175 CAS#: 862901-87-9
« Previous 1 … 583 584 585 586 587 … 5,585 Next »
  • Follow us by :

Copyright 2026 ChemWhat. Unit G25 Waterfront Studios, 1 Dock Road, London, E16 1AH, United Kingdom. D&B Number: 22-805-8882