• About ChemWhat
  • ChemWhat News
  • Unreliable Entity List (UEL)
  • ChemWhat Reagents
  • IVD Service
  • Contact Us
English Deutsch Français
Español Português Italiano
polski Русский Українська
हिन्दी اردو বাংলা
العربية فارسی‎ עברית
Türkçe 한국어 Indonesia
日本語 繁體中文 简体中文

Category: 8

ChemWhat Code Molecular Structure Product Information
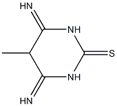
1253098 2(1H)-Pyrimidinethione, tetrahydro-4,6-diimino-5-methyl- (5CI) CAS#: 857412-53-4
1253767 Methyl 2-oxo-2,3-dihydro-1H-benzo[d]imidazole-4-carboxylate CAS#: 860187-45-7
1251384 6-(4-IODOPHENYL)-6-OXOHEXANOIC ACID CAS#: 854658-73-4
1281005 (3-pyrimidin-2-ylphenyl)methanol CAS#: 892502-12-4
1276429 4-[3-(TRIFLUOROMETHYL)PHENYL]-2(3H)-THIAZOLONE HYDRAZONE CAS#: 886505-04-0
1269309 4-CHLORO-2-(1-PIPERIDIN-4-OL)-5-THIAZOLECARBOXALDEHYDE CAS#: 883107-61-7
1264944 1-(2,3-DIHYDRO-BENZOFURAN-2-YLMETHYL)-PIPERAZINE CAS#: 876717-03-2
1255663 3-Pyridinol,2-[(4-aminophenyl)amino]-(9CI) CAS#: 863221-57-2
1270626 7-Methylpyrrolo[1,2-f][1,2,4]triazin-4-amine CAS#: 885270-28-0
1274565 (2,2-DIMETHYL-1-PYRROLIDIN-1-YLMETHYL-PROPYL)-METHYL-CARBAMIC ACID BENZYL ESTER CAS#: 886363-08-2
« Previous 1 … 680 681 682 683 684 … 5,585 Next »
  • Follow us by :

Copyright 2026 ChemWhat. Unit G25 Waterfront Studios, 1 Dock Road, London, E16 1AH, United Kingdom. D&B Number: 22-805-8882