| ChemWhat Code |
Molecular Structure |
Product Information |
| 1274225 |
 |
1H-Indol-4-ol, 6-nitro- CAS#: 885520-71-8 |
| 1253285 |
 |
N-[3’,4’-Dihydroxy-(E)-cinnamoyl]-L-glutamic Acid CAS#: 860295-23-4 |
| 1242643 |
 |
3-CHLORO-4-FLUOROBENZHYDROL CAS#: 842140-64-1 |
| 1274463 |
 |
8-AMINO-1,2,3,5-TETRAHYDRO-BENZO[E][1,4]DIAZEPINE-4-CARBOXYLIC ACID TERT-BUTYL ESTER
CAS#: 886363-80-0 |
| 1284633 |
 |
3-METHOXY-3′-THIOMORPHOLINOMETHYL BENZOPHENONE CAS#: 898762-80-6 |
| 1257764 |
 |
1-[4-(2,6-DIMETHYLPHENYL)PIPERAZINO]-3-(4-METHOXYPHENOXY)-2-PROPANOL CAS#: 866142-75-8 |
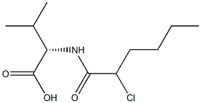
| 1264841 |
 |
Valine, N-(2-chlorohexanoyl)-, DL- (6CI) CAS#: 876858-57-0 |
| 1247179 |
 |
3,3-Difluorocyclohexanecarboxylic acid CAS#: 849669-20-1 |
| 1280394 |
 |
3-Nitro-6-(trifluoromethyl)pyridin-2-amine CAS#: 893444-21-8 |
| 1250439 |
 |
4-Thiazolecarboxaldehyde, 2-(methoxymethyl)- CAS#: 854754-21-5 |