| ChemWhat Code |
Molecular Structure |
Product Information |
| 1257678 |
 |
(E)-3-{3-[2-nitro-4-(trifluoromethyl)phenoxy]phenyl}-2-propenoic acid CAS#: 866154-72-5 |
| 1264771 |
 |
4-METHOXY-3-((PYRIDIN-3-YLMETHYL)AMINO)BENZOIC ACID CAS#: 876898-13-4 |
| 1280326 |
 |
2-(3-METHYL-PIPERAZIN-1-YL)-3-NITRO-BENZOIC ACID CAS#: 893611-87-5 |
| 1273593 |
 |
4-BOC-9-METHYL-2,3,4,5-TETRAHYDRO-1H-BENZO[E][1,4]DIAZEPINE
CAS#: 886364-23-4 |
| 1267131 |
 |
3-(2-hydroxyphenyl)-5-(2-phenylethyl)-4-(3,4,5-trimethoxyphenyl)-4,5-dihydropyrrolo[3,4-c]pyrazol-6(1H)-one CAS#: 879935-88-3 |
| 1250365 |
 |
2-Oxiranecarboxylic acid, 2-ethyl-3,3-dimethyl- CAS#: 854848-53-6 |
| 1263429 |
 |
1-(FURAN-2-YLMETHYL)-3-[4-(4,4,5,5-TETRAMETHYL-1,3,2-DIOXABOROLAN-2-YL)PHENYL]UREA CAS#: 874297-85-5 |
| 1281111 |
 |
5-METHOXY-1H-INDOLE-3-CARBOXAMIDINE CAS#: 889944-21-2 |
| 1248063 |
 |
(1S,6R)-8-Boc-3,8-diazabicyclo[4.2.0]octane CAS#: 851526-80-2 |
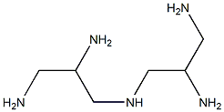
| 1252930 |
 |
Diethylenetriamine, 2,6-bis(aminomethyl)- (6CI) CAS#: 860382-50-9 |