• About ChemWhat
  • ChemWhat News
  • Unreliable Entity List (UEL)
  • ChemWhat Reagents
  • IVD Service
  • Contact Us
English Deutsch Français
Español Português Italiano
polski Русский Українська
हिन्दी اردو বাংলা
العربية فارسی‎ עברית
Türkçe 한국어 Indonesia
日本語 繁體中文 简体中文

Category: 9

ChemWhat Code Molecular Structure Product Information
1491734 Structure of Triphenylsulfonium (3-hydroxytricyclo[3.3.1.13,7]decane-1-methoxycarbonyl)difluoromethane sulfonate CAS 912290-04-1 Triphenylsulfonium (3-hydroxytricyclo[3.3.1.13,7]decane-1-methoxycarbonyl)difluoromethane sulfonate CAS#: 912290-04-1
1491135 Structure of Myristoyl Hexapeptide-16 CAS 959610-54-9 Myristoyl Hexapeptide-16 CAS#: 959610-54-9
1417519 Structure of Purine-Nucleoside Phosphorylase (PNP) CAS 9030-21-1 Purine-Nucleoside Phosphorylase (PNP) CAS#: 9030-21-1
1416946 structure of 2,6-dimethoxyphenol CAS 91-10-1 2,6-dimethoxyphenol CAS#: 91-10-1
1416891 Structure of Cyclopentadienyl Tris(dimethylamino) Hafnium CAS 941596-80-1 Cyclopentadienyl Tris(dimethylamino) Hafnium CAS#: 941596-80-1
1411565 structure of EPS CAS 96597-16-9 EPS/4-Nitrophenyl O-4,6-O-ethylidene-alpha-D-maltoheptaoside CAS#: 96597-16-9
1407336 Structure of Cefuroxime sodium Impurity H CAS 947723-87-7 Cefuroxime sodium Impurity H CAS#: 947723-87-7
1407335 Structure of cefuroxime sodium Impurity G CAS 97232-98-9 cefuroxime sodium Impurity G CAS#: 97232-98-9
1407334 Structure of Cefuroxime Sodium Impurity F CAS 97170-19-9 cefuroxime sodium Impurity F CAS#: 97170-19-9
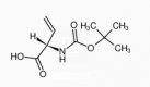
1394695 Structure of Boc-L-vinylglycine CAS 91028-39-6 Boc-L-vinylglycine CAS#: 91028-39-6
1 2 3 … 4,288 Next »
  • Follow us by :

Copyright 2026 ChemWhat. Unit G25 Waterfront Studios, 1 Dock Road, London, E16 1AH, United Kingdom. D&B Number: 22-805-8882