• About ChemWhat
  • ChemWhat News
  • Unreliable Entity List (UEL)
  • ChemWhat Reagents
  • IVD Service
  • Contact Us
English Deutsch Français
Español Português Italiano
polski Русский Українська
हिन्दी اردو বাংলা
العربية فارسی‎ עברית
Türkçe 한국어 Indonesia
日本語 繁體中文 简体中文

Category: 9

ChemWhat Code Molecular Structure Product Information
1353277 2,4,5-Trifluorophenyl isocyanate CAS#: 932710-67-3
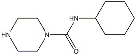
1351293 N-cyclohexyl-1-Piperazinecarboxamide CAS#: 923177-04-2
1359806 Boronic acid, B-5-thiazolyl- CAS#: 942190-81-0
1343175 CHEMBRDG-BB 9071527 CAS#: 908494-83-7
1346697 1,3-DibroMo-5-isopropyl-2-Methoxybenzene CAS#: 915069-01-1
1341244 3-bromo-7-methyl-1H-indole CAS#: 903131-21-5
1367657 4,4,4-TRIFLUORO-2-(3-FLUORO-PHENYL)-3-OXO-BUTYRONITRILE CAS#: 954238-37-0
1338874 1-[2-[4-(2-Hydroxyethyl)phenoxy]ethyl]-1H-imidazole CAS#: 99761-74-7
1348021 N-(4-Methoxyphenyl)-N,2-dimethyl-4-quinazolinamine hydrochloride CAS#: 917369-31-4
1361977 2-(chloroMethyl)pyriMidine-4-carbaldehyde CAS#: 944901-34-2
« Previous 1 … 541 542 543 544 545 … 4,267 Next »
  • Follow us by :

Copyright 2026 ChemWhat. Unit G25 Waterfront Studios, 1 Dock Road, London, E16 1AH, United Kingdom. D&B Number: 22-805-8882