• About ChemWhat
  • ChemWhat News
  • Unreliable Entity List (UEL)
  • ChemWhat Reagents
  • IVD Service
  • Contact Us
English Deutsch Français
Español Português Italiano
polski Русский Українська
हिन्दी اردو বাংলা
العربية فارسی‎ עברית
Türkçe 한국어 Indonesia
日本語 繁體中文 简体中文

Category: 9

ChemWhat Code Molecular Structure Product Information
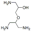
1333953 2-Propanol, 1-amino-3-[2-amino-1-(aminomethyl)ethoxy]- CAS#: 98279-42-6
1347913 3-(9 H-FLUOREN-9-YLMETHOXYCARBONYLAMINO)-PENTANOIC ACID CAS#: 917562-06-2
1361869 1H-Indazole-7-methanamine CAS#: 944904-20-5
1346587 L-GLUTAMIC ACID, 5-CYCLOHEXYL 1-(PHENYLMETHYL) ESTER CAS#: 915194-00-2
1350401 SAR-407899 CAS#: 923262-96-8
1365026 6-Chloro-N-(3-methoxypropyl)-2-(methylthio)pyrimidin-4-amine CAS#: 951884-56-3
1356645 5-broMo-2-Methoxyisonicotinaldehyde CAS#: 936011-17-5
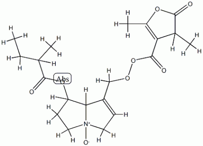
1334466 Latifoline N-oxide CAS#: 98752-06-8
1337108 1-(4-methylbenzoyl)indoline CAS#: 99293-77-3
1367547 4-(4-METHYLAMINO-BENZYL)-PIPERAZINE-1-CARBOXYLIC ACID TERT-BUTYL ESTER CAS#: 954240-26-7
« Previous 1 … 647 648 649 650 651 … 4,266 Next »
  • Follow us by :

Copyright 2026 ChemWhat. Unit G25 Waterfront Studios, 1 Dock Road, London, E16 1AH, United Kingdom. D&B Number: 22-805-8882