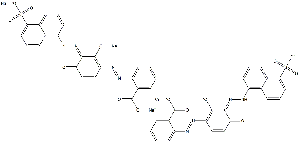
Chromate(3-), bis2-2-(hydroxy-.kappa.O)-4-hydroxy-3-(5-sulfo-1-naphthalenyl)azo-.kappa.N1phenylazobenzoato(3-)-.kappa.O-, trisodium CAS#: 94933-05-8; ChemWhat Code: 1319779
| Chromate(3-), bis2-2-(hydroxy-.kappa.O)-4-hydroxy-3-(5-sulfo-1-naphthalenyl)azo-.kappa.N1phenylazobenzoato(3-)-.kappa.O-, trisodium Basic information |
| Product Name | Chromate(3-), bis2-2-(hydroxy-.kappa.O)-4-hydroxy-3-(5-sulfo-1-naphthalenyl)azo-.kappa.N1phenylazobenzoato(3-)-.kappa.O-, trisodium |
| Synonyms | Chromate(3-), bis2-2-(hydroxy-.kappa.O)-4-hydroxy-3-(5-sulfo-1-naphthalenyl)azo-.kappa.N1phenylazobenzoato(3-)-.kappa.O-, trisodium;chromate, bis[2-[[2,4-dihydroxy-3-[(5-sulfo-1-naphthalenyl)azo]phenyl]azo]b;Chromate,bis[2-[[2,4-dihydroxy-3-[(5-sulfo-1-naphthalenyl)azo]phenyl]azo]benzoate ],trisodium;Chromate,bis[2-[[2,4-dihydroxy-3-[(5-sulfo-1-naphthalenyl)azo]phenyl]azo]benzoate],trisodium;Chromate(3-), bis[2-[[2,4-dihydroxy-3-[ (5-sulfo-1-naphthalenyl)azo]phenyl]azo]benzoato(3 -)]-, trisodium |
| CAS Registry Number | 94933-05-8 |
| Molecular Formula | C46H26CrN8Na3O14S2 |
| Molecular Weight | 1099.83925 |
| EINECS | |
| Other Registry Numbers | |
| IUPA Names, InChI, InChI Key, Canonical SMILES, etc.: | 94933-05-8.mol |
![]() |
|
| Chromate(3-), bis2-2-(hydroxy-.kappa.O)-4-hydroxy-3-(5-sulfo-1-naphthalenyl)azo-.kappa.N1phenylazobenzoato(3-)-.kappa.O-, trisodium Chemical Properties |
Safety & Hazards(Codes & Phrases) |
| More Safety & Hazards From PubChem | Signal, GHS Hazard Statements, Precautionary Statement Codes, etc. |
Literature |
| Literature on PubChem | Synthesis References, Metabolite References, etc. |
Patents |
| Patents on PubChem | Related Patents Of This Product |
Transportation, Storage & Usage |
| Transportation | No Information |
| Storage | No Information |
| Usage | No Information |
Spectral Properties |
| No Information |
Buy Reagent | |
| No reagent supplier? | Send quick inquiry to ChemWhat |
| Want to be listed here as a reagent supplier? (Paid service) | Click here to contact ChemWhat |
Approved Manufacturers | |
| Want to be listed as an approved manufacturer (Requires approvement)? | Please download and fill out this form and send back to approved-manufacturers@chemwhat.com |
Other Suppliers | |
| Watson International Limited | Visit Watson Official Website |
Contact Us for Other Help | |
| Contact us for other information or services | Click here to contact ChemWhat |


