Cynomolgus IL-1 Beta/IL-1F2 Protein, Accession#: A0A2K5VDC7, CAS#: 3202-706-243; ChemWhat Code: 1412209
Overview
| Product Description | Recombinant Cynomolgus IL-1 Beta/IL-1F2 Protein is expressed from E.coli with His tag at the C-terminal.It contains Ala117-Ser268. |
| Biotinylated |
Specification
| Target | IL-1 Beta/IL-1F2 |
| Synonyms | |
| Gene/Protein ID (Accession) | A0A2K5VDC7 |
| Species | Cynomolgus |
| Exact Sequence | Ala117-Ser268 |
| Molecular Weight | The protein has a predicted MW of 18.33 kDa same as Tris-Bis PAGE result. |
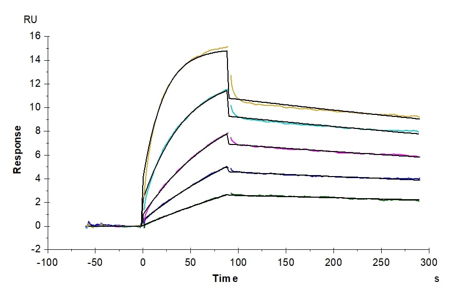
| Activity | The affinity constant of 0.92 nM as determined in SPR assay (Biacore T200). See testing image for detail. |
| Product Tag | C-His |
| Express System | E.coli |
| Endotoxin | Less than 1EU per ug by the LAL method. |
Shipping, Reconstitution & Storage
| Form | Lyophilized |
| Shipping | Shipped at ambient temperature. |
| Formulation | Lyophilized from 0.22um filtered solution in PBS,100mM L-arginine (pH 7.4). Normally 8% trehalose is added as protectant before lyophilization. |
| Reconstitution | Centrifuge tubes before opening. Reconstituting to a concentration more than 100 ug/ml is recommended. Dissolve the lyophilized protein in distilled water. |
| Stability and Storage | Reconstituted protein stable at -80°C for 12 months, 4°C for 1 week. Use a manual defrost freezer and avoid repeated freeze-thaw cycles. |
Validation Spectrums
| Spectrums | ![]() |
Buy Reagent | |
| ChemWhat 1412209 | > 95% as determined by Tris-Bis PAGE;> 95% as determined by HPLC |
| No reagent supplier? | Send quick inquiry to ChemWhat |
| Want to be listed here as a reagent supplier? (Paid service) | Click here to contact ChemWhat |
Approved Manufacturers | |
| Want to be listed as an approved manufacturer (Requires approvement)? | Please download and fill out this form and send back to approved-manufacturers@chemwhat.com |
Other Suppliers | |
| Watson International Limited | Visit Watson Official Website |
Contact Us for Other Help | |
| Contact us for other information or services | Click here to contact ChemWhat |

