CYPHOSIL 104 CAS#: 465527-59-7; ChemWhat Code: 763237
Names & Identifiers |
| Product Name | CYPHOSIL 104 |
| Synonyms | [H3C14P]PTMP2;CYPHOSIL 104;TETRADECYLTRIHEXYLPHOSPHONIUM BIS(2,4,4-TRIMETHYLPENTYL)PHOSPHINATE;TRIHEXYL(TETRADECYL)PHOSPHONIUM BIS(2,4,4-TRIMETHYLPENTYL)PHOSPHINATE;TRIHEXYLTETRADECYLPHOSPHON.BIS(2,4,4-TRIME.PENTYL)PHOSPHINAT;Trihexyl(tetradecyl)phosphoniumbis(2,4,4-trimethylpentyl)phosphinatecyphosil104;Trihexyl(tetradecyl)phosphoniumbis(2,4,4-trimethylpentyl)phosphinate,min.95%CYPHOSIL104;TrihexyltetradecylphosphoniuM bis(2,4,4-triMethylpentyl)phosphinate >=95.0% |
| CAS Registry Number | 465527-59-7 |
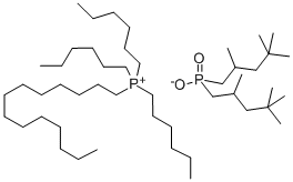
| Molecular Formula | C48H102O2P2 |
| Molecular Weight | 773.27 |
| EINECS | |
| Other Registry Numbers | |
| IUPA Names, InChI, InChI Key, Canonical SMILES, etc.: | IUPA Names, InChI, InChI Key, Canonical SMILES, etc. |
![]() |
|
Chemical & Physical Properties |
| Density | 0.895 g/mL at 20 °C(lit.) |
| form | liquid |
| Color | pale yellow |
Safety & Hazards(Codes & Phrases) |
| Hazard Codes | C |
| R Phrase | 34 |
| S Phrase | 26-36/37/39-45 |
| RIDADR | UN 3267 8/PG 2 |
| WGK Germany | 3 |
| F | 10-21 |
| More Safety & Hazards From PubChem | Signal, GHS Hazard Statements, Precautionary Statement Codes, etc. |
Literature |
| Literature on PubChem | Synthesis References, Metabolite References, etc. |
Patents |
| Patents on PubChem | Related Patents Of This Product |
Transportation, Storage & Usage |
| Transportation | No Information |
| Storage | No Information |
| Usage | No Information |
Spectral Properties |
| No Information |
Buy Reagent | |
| No reagent supplier? | Send quick inquiry to ChemWhat |
| Want to be listed here as a reagent supplier? (Paid service) | Click here to contact ChemWhat |
Approved Manufacturers | |
| Want to be listed as an approved manufacturer (Requires approvement)? | Please download and fill out this form and send back to approved-manufacturers@chemwhat.com |
Other Suppliers | |
| Watson International Limited | Visit Watson Official Website |
Contact Us for Other Help | |
| Contact us for other information or services | Click here to contact ChemWhat |


