D-Biotin CAS#: 58-85-5; ChemWhat Code: 136460
Identification
| Product Name | D-Biotin |
| IUPAC Name | 5-[(3aS,4S,6aR)-2-oxo-1,3,3a,4,6,6a-hexahydrothieno[3,4-d]imidazol-4-yl]pentanoic acid |
| Molecular Structure | ![]() |
| CAS Registry Number | 58-85-5 |
| EINECS Number | 200-399-3 |
| MDL Number | MFCD00005541 |
| Beilstein Registry Number | 86838 |
| Synonyms | biotinD-biotinvitamin B75-[(3AS,4S,6AR)-2-oxohexahydro-1H-thieno[3,4-d]imidazol-4-yl]pentanoic acidvitamin HL-biotin5-[(3aS,4S,6aR)-2-oxo-hexahydro-1H-thieno[3,4-d]imidazolidin-4-yl]pentanoic acid5-((3aS,4S,6aR)-2-oxohexahydro-1H-thieno[3,4-d]imidazole-4-yl)-pentanoic acid |
| Molecular Formula | C10H16N2O3S |
| Molecular Weight | 244.311 |
| InChI | InChI=1S/C10H16N2O3S/c13-8(14)4-2-1-3-7-9-6(5-16-7)11-10(15)12-9/h6-7,9H,1-5H2,(H,13,14)(H2,11,12,15)/t6-,7-,9-/m0/s1 |
| InChI Key | YBJHBAHKTGYVGT-ZKWXMUAHSA-N |
| Canonical SMILES | C1[C@H]2[C@@H]([C@@H](S1)CCCCC(=O)O)NC(=O)N2 |
| Patent Information | ||
| Patent ID | Title | Publication Date |
| US6338855, | Cleansing articles for skin and/or hair which also deposit skin care actives | 2002 |
| US6232094 | DNA encoding human κ casein and process for obtaining the protein | 2001 |
| US2023/61150 | METHOD OF ENCOURAGING GROWTH AND REGROWTH OF HAIR IN HUMAN MALES TECHNICAL AREA | 2023 |
Physical Data
| Appearance | White to off-white crystalline powder |
| Solubility | Very slightly soluble in water and in alcohol, practically insoluble in acetone. It dissolves in dilute solutions of alkali hydroxides |
| Flash Point | No data available |
| Refractive index | No data available |
| Sensitivity | No data available |
| Melting Point, °C |
| 232 – 233 |
| 230.8 – 231.2 |
| 235.1 |
| 231.3 |
| Boiling Point, °C |
| 251 |
| 250 – 252 |
| Density, g·cm-3 | Type (Density) |
| 1.42 | crystallographic |
| 1.41 | crystallographic |
| Description (Association (MCS)) | Solvent (Association (MCS)) | Temperature (Association (MCS)), °C | Partner (Association (MCS)) |
| Stability constant of the complex with … | CDCl3, dimethylsulfoxide-d6 | 24.85 | N-[6-(6-acetylaminopyridin-2-ylmethoxymethyl)pyridin-2-yl]-N’-(6-methylpyridin-2-yl)isophthalamide |
| Stability constant of the complex with … | CHCl3 | 24.85 | N,N’-bis(6-methylpyridin-2-yl)-1,3-benzenedicarboxamide |
| Association with compound | aq. phosphate buffer | 25 | iodine |
| NMR spectrum of the complex | CDCl3 | avidin |
Spectra
| Description (NMR Spectroscopy) | Nucleus (NMR Spectroscopy) | Solvents (NMR Spectroscopy) | Temperature (NMR Spectroscopy), °C | Frequency (NMR Spectroscopy), MHz |
| Chemical shifts | 1H | dimethylsulfoxide-d6 | ||
| Chemical shifts | 1H | dimethylsulfoxide-d6 | 600 | |
| Chemical shifts | 13C | dimethylsulfoxide-d6 | 150 | |
| Chemical shifts, Spectrum | 1H | dimethylsulfoxide-d6 | 25.54 | 500 |
| Description (IR Spectroscopy) | Solvent (IR Spectroscopy) |
| Bands, Spectrum | potassium bromide |
| ATR (attenuated total reflectance), Intensity of IR bands, Bands, Spectrum | |
| Spectrum | CCl4 |
| Description (Mass Spectrometry) |
| liquid chromatography mass spectrometry (LCMS), time-of-flight mass spectra (TOFMS), spectrum |
| electrospray ionisation (ESI), liquid chromatography mass spectrometry (LCMS), time-of-flight mass spectra (TOFMS), spectrum |
| liquid chromatography mass spectrometry (LCMS), spectrum |
| high resolution mass spectrometry (HRMS), electrospray ionisation (ESI), time-of-flight mass spectra (TOFMS), spectrum |
| Description (UV/VIS Spectroscopy) |
| Spectrum |
| Description (Raman Spectroscopy) | Comment (Raman Spectroscopy) |
| Spectrum | H2O |
Route of Synthesis (ROS)
| Conditions | Yield |
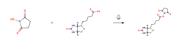
| With dicyclohexyl-carbodiimide In N,N-dimethyl-formamide at 20℃; | 100% |
| With dicyclohexyl-carbodiimide In N,N-dimethyl-formamide at 20℃; | 100% |
| With 1-ethyl-(3-(3-dimethylamino)propyl)-carbodiimide hydrochloride In N,N-dimethyl-formamide at 20℃; Inert atmosphere; | 98% |
Safety and Hazards
| GHS Hazard Statements | Not Classified |
| SDS Download | English Version |
Other Data
| Transportation | NONH for all modes of transport |
| Under the room temperature and away from light | |
| HS Code | 290621 |
| Storage | Under the room temperature and away from light |
| Shelf Life | 3 years |
| Market Price | USD |
| Druglikeness | |
| Lipinski rules component | |
| Molecular Weight | 244.315 |
| logP | 0.463 |
| HBA | 5 |
| HBD | 3 |
| Matching Lipinski Rules | 4 |
| Veber rules component | |
| Polar Surface Area (PSA) | 103.73 |
| Rotatable Bond (RotB) | 5 |
| Matching Veber Rules | 2 |
| Use Pattern |
| As a feed additive, the food industry uses it as a processing aid to prevent skin diseases, promote lipid metabolism and other physiological functions. It is used as a food fortifier and can also be used to label proteins, antigens, antibodies, nucleic acids (DNA, RNA), etc. |
Buy Reagent | |
| No reagent supplier? | Send quick inquiry to ChemWhat |
| Want to be listed here as a reagent supplier? (Paid service) | Click here to contact ChemWhat |
Approved Manufacturers | |
| Want to be listed as an approved manufacturer (Requires approvement)? | Please download and fill out this form and send back to approved-manufacturers@chemwhat.com |
Other Suppliers | |
| Watson International Limited | Visit Watson Official Website |
Contact Us for Other Help | |
| Contact us for other information or services | Click here to contact ChemWhat |


