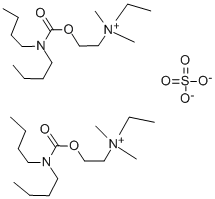
Dibutoline CAS#: 532-49-0; ChemWhat Code: 782750
Names & Identifiers |
| Product Name | Dibutoline |
| Synonyms | (2-Dibutylcarbamyloxyethyl)dimethylethylammonium sulfate;Ammonium, ethyl(2-hydroxyethyl)dimethyl-, dibutylcarbamate (ester), sulfate (2:1);Ammonium, ethyl(2-hydroxyethyl)dimethyl-, sulfate (salt), bis(dibutylcarbamate);Bis[(dibutylcarbamate) of ethyl(2-hydroxyethyl)dimethylammonium] sulfate;Dibuline sulfate;Dibulinesulfat;Di-N-butyl-carbamylcholine sulphate;2-(dibutylcarbamoyloxy)-N-ethyl-N,N-dimethylethanaminium chloride |
| CAS Registry Number | 532-49-0 |
| Molecular Formula | 2C15H33N2O2.O4S |
| Molecular Weight | 642.937 |
| EINECS | |
| Other Registry Numbers | |
| IUPA Names, InChI, InChI Key, Canonical SMILES, etc.: | IUPA Names, InChI, InChI Key, Canonical SMILES, etc. |
![]() |
|
Chemical & Physical Properties |
Safety & Hazards(Codes & Phrases) |
| More Safety & Hazards From PubChem | Signal, GHS Hazard Statements, Precautionary Statement Codes, etc. |
Literature |
| Literature on PubChem | Synthesis References, Metabolite References, etc. |
Patents |
| Patents on PubChem | Related Patents Of This Product |
Transportation, Storage & Usage |
| Transportation | No Information |
| Storage | No Information |
| Usage | No Information |
Spectral Properties |
| No Information |
Buy Reagent | |
| No reagent supplier? | Send quick inquiry to ChemWhat |
| Want to be listed here as a reagent supplier? (Paid service) | Click here to contact ChemWhat |
Approved Manufacturers | |
| Want to be listed as an approved manufacturer (Requires approvement)? | Please download and fill out this form and send back to approved-manufacturers@chemwhat.com |
Other Suppliers | |
| Watson International Limited | Visit Watson Official Website |
Contact Us for Other Help | |
| Contact us for other information or services | Click here to contact ChemWhat |


