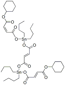
dicyclohexyl 6,6,13,13-tetrabutyl-4,8,11,15-tetraoxo-5,7,12,14-tetraoxa-6,13-distannoctadeca-2,9,16(Z)-trienedioate CAS#: 68460-05-9; ChemWhat Code: 959285
| dicyclohexyl 6,6,13,13-tetrabutyl-4,8,11,15-tetraoxo-5,7,12,14-tetraoxa-6,13-distannoctadeca-2,9,16(Z)-trienedioate Basic information |
| Product Name | dicyclohexyl 6,6,13,13-tetrabutyl-4,8,11,15-tetraoxo-5,7,12,14-tetraoxa-6,13-distannoctadeca-2,9,16(Z)-trienedioate |
| Synonyms | dicyclohexyl 6,6,13,13-tetrabutyl-4,8,11,15-tetraoxo-5,7,12,14-tetraoxa-6,13-distannoctadeca-2,9,16(Z)-trienedioate;(2Z)-6,6,13,13-Tetrabutyl-4,8,11,15-tetraoxo-5,7,12,14-tetraoxa-6,13-distannaoctadeca-2,9,16-trienedioic acid dicyclohexyl ester;5,7,12,14-Tetraoxa-6,13-distannaoctadeca-2,9,16-trienedioic acid, 6,6,13,13-tetrabutyl-4,8,11,15-tetraoxo-, 1,18-dicyclohexyl ester, (9Z)-;5,7,12,14-Tetraoxa-6,13-distannaoctadeca-2,9,16-trienedioic acid, 6,6,13,13-tetrabutyl-4,8,11,15-tetraoxo-, dicyclohexyl ester, (9Z)-;Einecs 270-626-9 |
| CAS Registry Number | 68460-05-9 |
| Molecular Formula | C40H64O12Sn2 |
| Molecular Weight | 974.34896 |
| EINECS | 270-626-9 |
| Other Registry Numbers | |
| More Identifiers on PubChem | IUPA Names, InChI, InChI Key, Canonical SMILES, etc. |
![]() |
|
| dicyclohexyl 6,6,13,13-tetrabutyl-4,8,11,15-tetraoxo-5,7,12,14-tetraoxa-6,13-distannoctadeca-2,9,16(Z)-trienedioate Chemical Properties |
Safety & Hazards(Codes & Phrases) |
| More Safety & Hazards From PubChem | Signal, GHS Hazard Statements, Precautionary Statement Codes, etc. |
Literature |
| Literature on PubChem | Synthesis References, Metabolite References, etc. |
Patents |
| Patents on PubChem | Related Patents Of This Product |
Transportation, Storage & Usage |
| Transportation | No Information |
| Storage | No Information |
| Usage | No Information |
Spectral Properties |
| No Information |
Buy Reagent | |
| No reagent supplier? | Send quick inquiry to ChemWhat |
| Want to be listed here as a reagent supplier? (Paid service) | Click here to contact ChemWhat |
Approved Manufacturers | |
| Want to be listed as an approved manufacturer (Requires approvement)? | Please download and fill out this form and send back to approved-manufacturers@chemwhat.com |
Other Suppliers | |
| Watson International Limited | Visit Watson Official Website |
Contact Us for Other Help | |
| Contact us for other information or services | Click here to contact ChemWhat |


