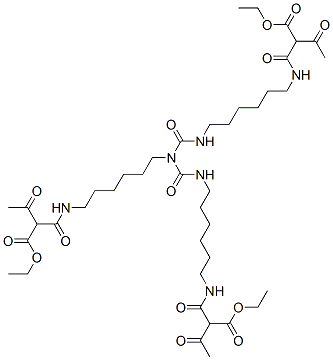
diethyl 2,24-diacetyl-13-[6-[[2-(ethoxycarbonyl)-1,3-dioxobutyl]amino]hexyl]-3,12,14,23-tetraoxo-4,11,13,15,22-pentaazapentacosanedioate CAS#: 64762-96-5; ChemWhat Code: 949961
| diethyl 2,24-diacetyl-13-[6-[[2-(ethoxycarbonyl)-1,3-dioxobutyl]amino]hexyl]-3,12,14,23-tetraoxo-4,11,13,15,22-pentaazapentacosanedioate Basic information |
| Product Name | diethyl 2,24-diacetyl-13-[6-[[2-(ethoxycarbonyl)-1,3-dioxobutyl]amino]hexyl]-3,12,14,23-tetraoxo-4,11,13,15,22-pentaazapentacosanedioate |
| Synonyms | diethyl 2,24-diacetyl-13-[6-[[2-(ethoxycarbonyl)-1,3-dioxobutyl]amino]hexyl]-3,12,14,23-tetraoxo-4,11,13,15,22-pentaazapentacosanedioate;2,24-Diacetyl-13-[6-[[2-(ethoxycarbonyl)-1,3-dioxobutyl]amino]hexyl]-3,12,14,23-tetraoxo-4,11,13,15,22-pentaazapentacosanedioic acid diethyl ester |
| CAS Registry Number | 64762-96-5 |
| Molecular Formula | C41H68N6O14 |
| Molecular Weight | 869.01042 |
| EINECS | 265-231-3 |
| Other Registry Numbers | |
| IUPA Names, InChI, InChI Key, Canonical SMILES, etc.: | IUPA Names, InChI, InChI Key, Canonical SMILES, etc. |
![]() |
|
| diethyl 2,24-diacetyl-13-[6-[[2-(ethoxycarbonyl)-1,3-dioxobutyl]amino]hexyl]-3,12,14,23-tetraoxo-4,11,13,15,22-pentaazapentacosanedioate Chemical Properties |
Safety & Hazards(Codes & Phrases) |
| More Safety & Hazards From PubChem | Signal, GHS Hazard Statements, Precautionary Statement Codes, etc. |
Literature |
| Literature on PubChem | Synthesis References, Metabolite References, etc. |
Patents |
| Patents on PubChem | Related Patents Of This Product |
Transportation, Storage & Usage |
| Transportation | No Information |
| Storage | No Information |
| Usage | No Information |
Spectral Properties |
| No Information |
Buy Reagent | |
| No reagent supplier? | Send quick inquiry to ChemWhat |
| Want to be listed here as a reagent supplier? (Paid service) | Click here to contact ChemWhat |
Approved Manufacturers | |
| Want to be listed as an approved manufacturer (Requires approvement)? | Please download and fill out this form and send back to approved-manufacturers@chemwhat.com |
Other Suppliers | |
| Watson International Limited | Visit Watson Official Website |
Contact Us for Other Help | |
| Contact us for other information or services | Click here to contact ChemWhat |

![diethyl 2,24-diacetyl-13-[6-[[2-(ethoxycarbonyl)-1,3-dioxobutyl]amino]hexyl]-3,12,14,23-tetraoxo-4,11,13,15,22-pentaazapentacosanedioate CAS#: 64762-96-5](/wp-content/uploads/2018/05/diethyl-224-diacetyl-13-6-2-ethoxycarbonyl-13-dioxobutylaminohexyl-3121423-tetraoxo-411131522-pentaazapentacosanedioate-CAS-64762-96-5.gif)