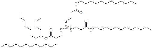
dodecyl 5-dodecyl-5-[[3-(dodecyloxy)-3-oxopropyl]thio]-9-oxo-10-oxa-4,6-dithia-5-stannadocosanoate CAS#: 83898-51-5; ChemWhat Code: 1197308
| dodecyl 5-dodecyl-5-[[3-(dodecyloxy)-3-oxopropyl]thio]-9-oxo-10-oxa-4,6-dithia-5-stannadocosanoate Basic information |
| Product Name | dodecyl 5-dodecyl-5-[[3-(dodecyloxy)-3-oxopropyl]thio]-9-oxo-10-oxa-4,6-dithia-5-stannadocosanoate |
| Synonyms | dodecyl 5-dodecyl-5-[[3-(dodecyloxy)-3-oxopropyl]thio]-9-oxo-10-oxa-4,6-dithia-5-stannadocosanoate;5-Dodecyl-5-[(3-dodecyloxy-3-oxopropyl)thio]-4,6-dithia-5-stannanonanedioic acid didodecyl ester;Einecs 281-262-5 |
| CAS Registry Number | 83898-51-5 |
| Molecular Formula | C57H112O6S3Sn |
| Molecular Weight | 1108.40058 |
| EINECS | 281-262-5 |
| Other Registry Numbers | |
| More Identifiers on PubChem | IUPA Names, InChI, InChI Key, Canonical SMILES, etc. |
![]() |
|
| dodecyl 5-dodecyl-5-[[3-(dodecyloxy)-3-oxopropyl]thio]-9-oxo-10-oxa-4,6-dithia-5-stannadocosanoate Chemical Properties |
Safety & Hazards(Codes & Phrases) |
| More Safety & Hazards From PubChem | Signal, GHS Hazard Statements, Precautionary Statement Codes, etc. |
Literature |
| Literature on PubChem | Synthesis References, Metabolite References, etc. |
Patents |
| Patents on PubChem | Related Patents Of This Product |
Transportation, Storage & Usage |
| Transportation | No Information |
| Storage | No Information |
| Usage | No Information |
Spectral Properties |
| No Information |
Buy Reagent | |
| No reagent supplier? | Send quick inquiry to ChemWhat |
| Want to be listed here as a reagent supplier? (Paid service) | Click here to contact ChemWhat |
Approved Manufacturers | |
| Want to be listed as an approved manufacturer (Requires approvement)? | Please download and fill out this form and send back to approved-manufacturers@chemwhat.com |
Other Suppliers | |
| Watson International Limited | Visit Watson Official Website |
Contact Us for Other Help | |
| Contact us for other information or services | Click here to contact ChemWhat |

![dodecyl 5-dodecyl-5-[[3-(dodecyloxy)-3-oxopropyl]thio]-9-oxo-10-oxa-4,6-dithia-5-stannadocosanoate CAS#: 83898-51-5](/wp-content/uploads/2018/09/dodecyl-5-dodecyl-5-3-dodecyloxy-3-oxopropylthio-9-oxo-10-oxa-46-dithia-5-stannadocosanoate-CAS-83898-51-5.gif)