Ferrocene, 1-(diphenylphosphino)-2-[(1R)-1-[[2-[[(1R)-1-(hydroxymethyl)-2,2-dimethylpropyl]amino]-2-oxoethyl]amino]ethyl]-, (1R)- CAS#: 2922459-71-8; ChemWhat Code: 1491634
Identification
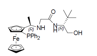
| Product Name | Ferrocene, 1-(diphenylphosphino)-2-[(1R)-1-[[2-[[(1R)-1-(hydroxymethyl)-2,2-dimethylpropyl]amino]-2-oxoethyl]amino]ethyl]-, (1R)- |
| IUPAC Name | f-phamidol |
| Molecular Structure | ![]() |
| CAS Registry Number | 2922459-71-8 |
| EINECS Number | No data available |
| MDL Number | No data available |
| Beilstein Registry Number | No data available |
| Synonyms | (S)-Ferrocene,1-(diphenylphosphino)-2-[(1R)-1-[[2-[[(1R)-1-(hydroxymethyl)-2,2-dimethylpropyl]amino]-2-oxoethyl]amino]ethyl]-,; 1-(Diphenylphosphino)-2-[(1R)-1-[[2-[[(1R)-1-(hydroxymethyl)-2,2-dimChemicalbookethylpropyl]amino]-2-oxoethyl]amino]ethyl]-(S)-ferrocene; Ferrocene,1-(diphenylphosphino)-2-[(1R)-1-[[2-[[(1R)-1-(hydroxymethyl)-2,2-dimethylpropyl]amino]-2-oxoethyl]amino]ethyl]-,(1R)-; f-phamidol |
| Molecular Formula | C32H39FeN2O2P |
| Molecular Weight | 570.49 |
| InChI | No data available |
| InChI Key | No data available |
| Canonical SMILES | No data available |
| Patent Information | ||
| Patent ID | Title | Publication Date |
| US2023/124576 | CHIRAL MULTIDENTATE LIGAND, AND APPLICATION THEREOF IN ASYMMETRIC HYDROGENATION | 2023 |
Physical Data
| Appearance | Yellow Powder |
| Solubility | No data available |
| Flash Point | No data available |
| Refractive index | No data available |
| Sensitivity | No data available |
Spectra
| Description (NMR Spectroscopy) | Nucleus (NMR Spectroscopy) | Solvents (NMR Spectroscopy) | Original Text (NMR Spectroscopy) |
| Chemical shifts | 13C | chloroform-d1 | 1H NMR (400 MHz, CDCl3) δ 7.50-7.47 (m, 3H), 7.25-7.21 (m, 3H), 7.21-7.13 (m, 4H), 4.41 (s, 1H), 4.30 (s, 1H), 4.20-4.18 (m, 1H), 3.99 (s, 5H), 3.80-3.74 (m, 2H), 3.62-3.60 (m, 1H), 3.40-3.35 (m, 1H), 2.82 (dd, J=17.5 Hz, 117.2 Hz, 2H), 1.38 (d, J=6.7 Hz, 3H), 0.89 (s, 9H); |
| Chemical shifts, Spectrum | 13C | chloroform-d1 | 13C NMR (101 MHz, CDCl3) δ 174.09, 139.70 (d, J=9.7 Hz), 136.74 (d, J=8.6 Hz), 134.81, 134.67, 132.54 (d, J=19.1 Hz), 129.20, 128.66, 128.50 (d, J=6.3 Hz), 128.18 (d, J=7.7 Hz), 96.28 (d, J=23.7 Hz), 75.18 (d, J=7.6 Hz), 71.57 (d, J=4.2 Hz), 69.70, 69.59, 69.56, 69.14, 63.78, 60.30, 51.43 (d, J=8.5 Hz), 48.06, 33.32, 26.94, 19.18; |
| Chemical shifts | 31P | chloroform-d1 | 31P NMR (101 MHz, CDCl3) δ-25.04. |
| Ferrocene, 1-(diphenylphosphino)-2-[(1R)-1-[[2-[[(1R)-1-(hydroxymethyl)-2,2-dimethylpropyl]amino]-2-oxoethyl]amino]ethyl]-, (1R)- CAS#: 2922459-71-8 NMR | ![]() |
Route of Synthesis (ROS)
![Route of Synthesis (ROS) of Ferrocene, 1-(diphenylphosphino)-2-[(1R)-1-[[2-[[(1R)-1-(hydroxymethyl)-2,2-dimethylpropyl]amino]-2-oxoethyl]amino]ethyl]-, (1R)- CAS# 2922459-71-8](https://www.chemwhat.com/wp-content/uploads/2025/11/Route-of-Synthesis-ROS-of-Ferrocene-1-diphenylphosphino-2-1R-1-2-1R-1-hydroxymethyl-22-dimethylpropylamino-2-oxoethylaminoethyl-1R-CAS-2922459-71-8.png)
| Conditions | Yield |
| With triethylamine In methanol at 20℃; Reflux; Inert atmosphere; | 51% |
Safety and Hazards
| GHS Hazard Statements | Not Classified |
Other Data
| Transportation | NONH for all modes of transport |
| Under the room temperature and away from light | |
| HS Code | No data available |
| Storage | Under the room temperature and away from light |
| Shelf Life | 1 year |
| Market Price | USD |
| Druglikeness | |
| Lipinski rules component | |
| Molecular Weight | 570.495 |
| HBA | 4 |
| HBD | 0 |
| Matching Lipinski Rules | 2 |
| Veber rules component | |
| Polar Surface Area (PSA) | 17.07 |
| Rotatable Bond (RotB) | 11 |
| Matching Veber Rules | 1 |
| Use Pattern |
| Chiral catalyst ligands: Serves as ligands for chiral metal catalysts (particularly transition metals such as Rh, Ru, Ir, and Pd) in asymmetric synthetic reactions. |
| Asymmetric hydrogenation reactions: Provides high optical selectivity in asymmetric hydrogenations, olefin hydrogenations, or ketone/imine reductions. |
| Asymmetric C–C bond formation reactions: Used in asymmetric cross-couplings, allylic substitutions, and α-alkylations. |
| Drug and chiral intermediate synthesis: Widely used in the preparation of optically active drug intermediates, natural products, and pesticides. |
| Coordination chemistry research materials: Serves as model compounds for studying the structure and reactivity of metal-organic complexes. |
Buy Reagent | |
| No reagent supplier? | Send quick inquiry to ChemWhat |
| Want to be listed here as a reagent supplier? (Paid service) | Click here to contact ChemWhat |
Approved Manufacturers | |
| Warshel Chemical Ltd | http://www.warshel.com/ |
| Want to be listed as an approved manufacturer (Requires approvement)? | Please download and fill out this form and send back to approved-manufacturers@chemwhat.com |
Other Suppliers | |
| Watson International Limited | Visit Watson Official Website |
Contact Us for Other Help | |
| Contact us for other information or services | Click here to contact ChemWhat |


![Structure of Ferrocene, 1-(diphenylphosphino)-2-[(1R)-1-[[2-[[(1R)-1-(hydroxymethyl)-2,2-dimethylpropyl]amino]-2-oxoethyl]amino]ethyl]-, (1R)- CAS 2922459-71-8](https://www.chemwhat.com/wp-content/uploads/2025/11/Structure-of-Ferrocene-1-diphenylphosphino-2-1R-1-2-1R-1-hydroxymethyl-22-dimethylpropylamino-2-oxoethylaminoethyl-1R-CAS-2922459-71-8.png)
![HNMR of Ferrocene, 1-(diphenylphosphino)-2-[(1R)-1-[[2-[[(1R)-1-(hydroxymethyl)-2,2-dimethylpropyl]amino]-2-oxoethyl]amino]ethyl]-, (1R)- CAS 2922459-71-8](https://www.chemwhat.com/wp-content/uploads/2025/11/HNMR-of-Ferrocene-1-diphenylphosphino-2-1R-1-2-1R-1-hydroxymethyl-22-dimethylpropylamino-2-oxoethylaminoethyl-1R-CAS-2922459-71-8.png)