Fmoc-Amox CAS#: 1370440-28-0; ChemWhat Code: 1372233
Identification
| Product Name | Fmoc-Amox |
| IUPAC Name | [(E)-(2-amino-1-cyano-2-oxoethylidene)amino] 9H-fluoren-9-ylmethyl carbonate |
| Molecular Structure | ![]() |
| CAS Registry Number | 1370440-28-0 |
| EINECS Number | 827-878-5 |
| MDL Number | No data available |
| Beilstein Registry Number | No data available |
| Synonyms | N-(((9H-fluoren-9-yl)methoxy)carbonyloxy)-2-amino-2-oxoacetimidoyl cyanide |
| Molecular Formula | C18H13N3O4 |
| Molecular Weight | 335.3 |
| InChI | InChI=1S/C18H13N3O4/c19-9-16(17(20)22)21-25-18(23)24-10-15-13-7-3-1-5-11(13)12-6-2-4-8-14(12)15/h1-8,15H,10H2,(H2,20,22) |
| InChI Key | WKXZMBNWSRJOEZ-UHFFFAOYSA-N |
| Canonical SMILES | C1=CC=C2C(=C1)C(C3=CC=CC=C32)COC(=O)ON=C(C#N)C(=O)N |
| Patent Information |
| No data available |
Physical Data
| Appearance | Off-white solid |
| Solubility | No data available |
| Flash Point | No data available |
| Refractive index | No data available |
| Sensitivity | No data available |
| Melting Point, °C | Solvent (Melting Point) |
| 152 – 153 | dichloromethane, hexane |
Spectra
| Description (NMR Spectroscopy) | Nucleus (NMR Spectroscopy) | Solvents (NMR Spectroscopy) | Frequency (NMR Spectroscopy), MHz |
| Chemical shifts, Spectrum | 1H | dimethylsulfoxide-d6 | 400 |
| Chemical shifts, Spectrum | 13C | dimethylsulfoxide-d6 | 100 |
| DEPT (Distorsionless Enhancement by Polarisation Transfer), Spectrum | 13C | dimethylsulfoxide-d6 | 100 |
| Chemical shifts, Spectrum | 1H | dimethylsulfoxide-d6 | |
| Chemical shifts, Spectrum | 13C |
| Description (HPLC 210nm) |
| Description (Mass Spectrometry) |
| HRMS (High resolution mass spectrometry), ESI (Electrospray ionisation), Spectrum |
Route of Synthesis (ROS)
| Conditions | Yield |
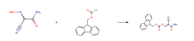
| With sodium carbonate In dichloromethane; water at 0 – 20℃; for 2.5h; Experimental Procedure 4.3. General method for preparation of Fmoc-oxime derivatives (6-9) General procedure: A solution of (9H-fluoren-9-yl)methyl carbonochloridate (10 mmol) in 30 mL CH2Cl2 was added slowly to a solution of (10 mmol) of oxime (15-18) and sodium carbonate (20 mmol) in 20 mL of H2O with stirring at 0 °C. The resulting clear mixture was stirred at 0 °C for 30 min and then at room temperature for 2 h. After dilution with CH2Cl2 (50 mL), the organic phase was collected and washed with water and saturated aqueous NaCl (30 mL), dried over anhydrous MgSO4. Filtered and the solvent was removed with a rotary evaporator, the residue was recrystallized from CH2Cl2/hexane to give Fmoc-oxime derivatives. | 91% |
| With sodium carbonate In dichloromethane; water at 0 – 20℃; for 20.5h; | 80% |
Safety and Hazards
| Pictogram(s) | ![]() |
| Signal | Warning |
| GHS Hazard Statements | H315 (100%): Causes skin irritation [Warning Skin corrosion/irritation] H317 (100%): May cause an allergic skin reaction [Warning Sensitization, Skin] H319 (100%): Causes serious eye irritation [Warning Serious eye damage/eye irritation] H335 (100%): May cause respiratory irritation [Warning Specific target organ toxicity, single exposure; Respiratory tract irritation] Information may vary between notifications depending on impurities, additives, and other factors. |
| Precautionary Statement Codes | P261, P264, P271, P272, P280, P302+P352, P304+P340, P305+P351+P338, P312, P321, P332+P313, P333+P313, P337+P313, P362, P363, P403+P233, P405, and P501 (The corresponding statement to each P-code can be found at the GHS Classification page.) |
| For more detailed information, please visit ECHA C&L website |
| Source: European Chemicals Agency (ECHA) License Note: Use of the information, documents and data from the ECHA website is subject to the terms and conditions of this Legal Notice, and subject to other binding limitations provided for under applicable law, the information, documents and data made available on the ECHA website may be reproduced, distributed and/or used, totally or in part, for non-commercial purposes provided that ECHA is acknowledged as the source: “Source: European Chemicals Agency, http://echa.europa.eu/”. Such acknowledgement must be included in each copy of the material. ECHA permits and encourages organisations and individuals to create links to the ECHA website under the following cumulative conditions: Links can only be made to webpages that provide a link to the Legal Notice page. License URL: https://echa.europa.eu/web/guest/legal-notice Record Name: (1-Cyano-2-ethoxy-2-oxoethylidenaminooxy)dimethylamino-morpholino-carbenium hexafluorophosphate URL: https://echa.europa.eu/information-on-chemicals/cl-inventory-database/-/discli/details/213446 Description: The information provided here is aggregated from the “Notified classification and labelling” from ECHA’s C&L Inventory. Read more: https://echa.europa.eu/information-on-chemicals/cl-inventory-database |
Other Data
| Transportation | Not dangerous goods |
| Store at cool (<8℃) and dry place. | |
| HS Code | No data available |
| Storage | Store at cool (<8℃) and dry place. |
| Shelf Life | No data available |
| Market Price | USD |
| Use Pattern |
| Fmoc-Amox CAS#: 1370440-28-0 used as amino acid. |
Related Chemicals
Buy Reagent | |
| No reagent supplier? | Send quick inquiry to ChemWhat |
| Want to be listed here as a reagent supplier? (Paid service) | Click here to contact ChemWhat |
Approved Manufacturers | |
| Apnoke Scientific Ltd | http://www.apnoke.com/ |
| Want to be listed as an approved manufacturer (Requires approvement)? | Please download and fill out this form and send back to approved-manufacturers@chemwhat.com |
Other Suppliers | |
| Watson International Limited | Visit Watson Official Website |
Contact Us for Other Help | |
| Contact us for other information or services | Click here to contact ChemWhat |






