FOLIC ACID DIHYDRATE CAS#: 75708-92-8; ChemWhat Code: 1130908
Names & Identifiers |
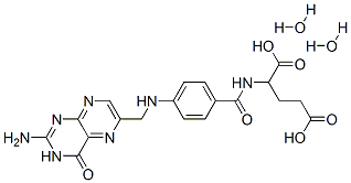
| Product Name | FOLIC ACID DIHYDRATE |
| Synonyms | PTEROYLGLUTAMIC ACID DIHYDRATE;PTEROYLGLUTAMIC ACID;PGA DIHYDRATE;FOLIC ACID DIHYDRATE;FOLIC ACID, 500MG, NEAT;FOLIC ACID DIHYDRATE 97%;FolicAcidB.P.;L-Glutamic acid, N-4-(2-amino-1,4-dihydro-4-oxo-6-pteridinyl)methylaminobenzoyl-, dihydrate |
| CAS Registry Number | 75708-92-8 |
| Molecular Formula | C19H23N7O8 |
| Molecular Weight | 477.43 |
| EINECS | 200-419-0 |
| Other Registry Numbers | |
| More Identifiers on PubChem | IUPA Names, InChI, InChI Key, Canonical SMILES, etc. |
![]() |
|
Chemical & Physical Properties |
| Melting point | 250°C |
| Storage | Store at RT. |
| Water Solubility | Miscible with water. |
| Merck | 14,4221 |
| BRN | 100781 |
Safety & Hazards(Codes & Phrases) |
| WGK Germany | 3 |
| RTECS | LP5425000 |
| TSCA | Yes |
| More Safety & Hazards From PubChem | Signal, GHS Hazard Statements, Precautionary Statement Codes, etc. |
Literature |
| Literature on PubChem | Synthesis References, Metabolite References, etc. |
Patents |
| Patents on PubChem | Related Patents Of This Product |
Transportation, Storage & Usage |
| Transportation | No Information |
| Storage | No Information |
| Usage | No Information |
Spectral Properties |
| No Information |
Buy Reagent | |
| No reagent supplier? | Send quick inquiry to ChemWhat |
| Want to be listed here as a reagent supplier? (Paid service) | Click here to contact ChemWhat |
Approved Manufacturers | |
| Want to be listed as an approved manufacturer (Requires approvement)? | Please download and fill out this form and send back to approved-manufacturers@chemwhat.com |
Other Suppliers | |
| Watson International Limited | Visit Watson Official Website |
Contact Us for Other Help | |
| Contact us for other information or services | Click here to contact ChemWhat |


