GNF5 CAS#: 778277-15-9; ChemWhat Code: 83655
Names & Identifiers |
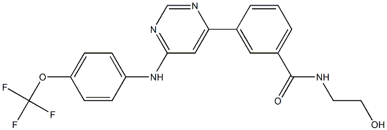
| Product Name | GNF5 |
| Synonyms | GNF 5;GNF5;GNF-5;N-(2-Hydroxyethyl)-3-[6-[[4-(trifluoromethoxy)phenyl]amino]-4-pyrimidinyl]benzamide;ert-butyl 2-oxopiperidine-1-carboxylate;GNF 5 N-(2-Hydroxyethyl)-3-[6-[[4-(trifluoromethoxy)phenyl]amino]-4-pyrimidinyl]benzamide;N-(2-Hydroxyethyl)-3-[6-[[4-(trifluoromethoxy)phenyl]amino]-4-pyrimidinyl]benzamide GNF-5;GNF-5, >=98% |
| CAS Registry Number | 778277-15-9 |
| Molecular Formula | C20H17F3N4O3 |
| Molecular Weight | 418.3691896 |
| EINECS | |
| Other Registry Numbers | |
| IUPA Names, InChI, InChI Key, Canonical SMILES, etc.: | 778277-15-9.mol |
![]() |
|
Chemical & Physical Properties |
| Storage | 2-8°C |
| Solubulity | DMSO: soluble10mg/mL (clear solution) |
| Color | white to beige |
Safety & Hazards(Codes & Phrases) |
| Hazard Codes | T |
| R Phrase | 25-36 |
| S Phrase | 22-45 |
| RIDADR | UN 2811 6.1 / PGIII |
| More Safety & Hazards From PubChem | Signal, GHS Hazard Statements, Precautionary Statement Codes, etc. |
Literature |
| Literature on PubChem | Synthesis References, Metabolite References, etc. |
Patents |
| Patents on PubChem | Related Patents Of This Product |
Transportation, Storage & Usage |
| Transportation | No Information |
| Storage | No Information |
| Usage | No Information |
Spectral Properties |
| No Information |
Buy Reagent | |
| No reagent supplier? | Send quick inquiry to ChemWhat |
| Want to be listed here as a reagent supplier? (Paid service) | Click here to contact ChemWhat |
Approved Manufacturers | |
| Want to be listed as an approved manufacturer (Requires approvement)? | Please download and fill out this form and send back to approved-manufacturers@chemwhat.com |
Other Suppliers | |
| Watson International Limited | Visit Watson Official Website |
Contact Us for Other Help | |
| Contact us for other information or services | Click here to contact ChemWhat |


