HEXACYCLEN TRISULFATE CAS#: 56187-09-8; ChemWhat Code: 837918
Names & Identifiers |
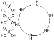
| Product Name | HEXACYCLEN TRISULFATE |
| Synonyms | 1,4,7,10,13,16-hexaazacyclooctadecane,sulfate(1:3);1,4,7,10,13,16-HEXAAZACYCLOOCTADECANE TRISULFATE;HEXACYCLEN TRISULFATE;KRYPTOFIX 22 AZA TRISULFATE;Hexacyclen trisulfate salt;KRYPTOFIX 22 AZA TRISULFATE 98+%;1,4,7,10,13,16-hexaazacyclooctadecane trisulfate salt;HEXAAZA-18-CROWN-6 TRISULFATE |
| CAS Registry Number | 56187-09-8 |
| Molecular Formula | C12H36N6O12S3 |
| Molecular Weight | 552.64 |
| EINECS | |
| Other Registry Numbers | |
| IUPA Names, InChI, InChI Key, Canonical SMILES, etc.: | IUPA Names, InChI, InChI Key, Canonical SMILES, etc. |
![]() |
|
Chemical & Physical Properties |
Safety & Hazards(Codes & Phrases) |
| Hazard Codes | C |
| R Phrase | 34 |
| S Phrase | 26-36/37/39-45 |
| RIDADR | UN 3261 8/PG 2 |
| WGK Germany | 3 |
| RTECS | MK9330000 |
| F | 3-10 |
| Storage Class | 8 |
| Packing Group | III |
| More Safety & Hazards From PubChem | Signal, GHS Hazard Statements, Precautionary Statement Codes, etc. |
Literature |
| Literature on PubChem | Synthesis References, Metabolite References, etc. |
Patents |
| Patents on PubChem | Related Patents Of This Product |
Transportation, Storage & Usage |
| Transportation | No Information |
| Storage | No Information |
| Usage | No Information |
Spectral Properties |
| No Information |
Buy Reagent | |
| No reagent supplier? | Send quick inquiry to ChemWhat |
| Want to be listed here as a reagent supplier? (Paid service) | Click here to contact ChemWhat |
Approved Manufacturers | |
| Want to be listed as an approved manufacturer (Requires approvement)? | Please download and fill out this form and send back to approved-manufacturers@chemwhat.com |
Other Suppliers | |
| Watson International Limited | Visit Watson Official Website |
Contact Us for Other Help | |
| Contact us for other information or services | Click here to contact ChemWhat |

