Hexanedioic acid, polymer with 1,3-diisocyanatomethyl benzene, 1,2-ethanediol and 1,2-propanediol Adipic acid, ethylene glycol, propylene glycol, toluene diisocyanate polymer CAS#: 9063-78-9; ChemWhat Code: 1291784
| Hexanedioic acid, polymer with 1,3-diisocyanatomethyl benzene, 1,2-ethanediol and 1,2-propanediol Adipic acid, ethylene glycol, propylene glycol, toluene diisocyanate polymer Basic information |
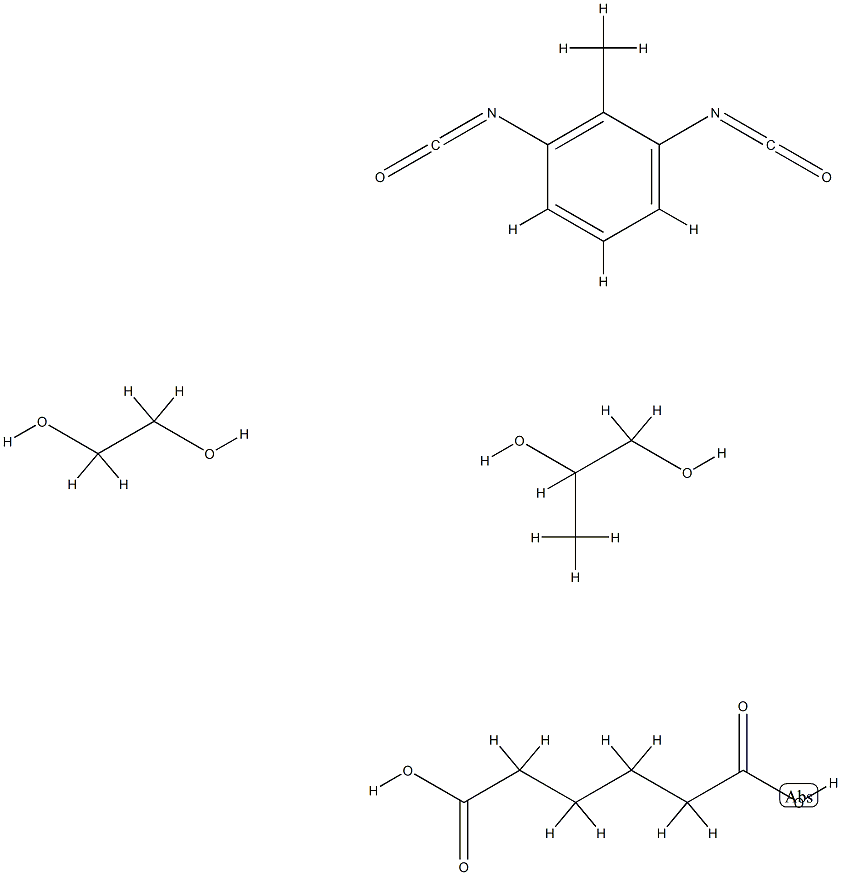
| Product Name | Hexanedioic acid, polymer with 1,3-diisocyanatomethyl benzene, 1,2-ethanediol and 1,2-propanediol Adipic acid, ethylene glycol, propylene glycol, toluene diisocyanate polymer |
| Synonyms | Hexanedioic acid, polymer with 1,3-diisocyanatomethyl benzene, 1,2-ethanediol and 1,2-propanediol Adipic acid, ethylene glycol, propylene glycol, toluene diisocyanate polymer;Hexanedioic acid, polymer with 1,3-diisocyanatomethylbenzene, 1,2-ethanediol and 1,2-propanediol |
| CAS Registry Number | 9063-78-9 |
| Molecular Formula | C20H30N2O10 |
| Molecular Weight | 458.4596 |
| EINECS | |
| Other Registry Numbers | |
| IUPA Names, InChI, InChI Key, Canonical SMILES, etc.: | 9063-78-9.mol |
![]() |
|
| Hexanedioic acid, polymer with 1,3-diisocyanatomethyl benzene, 1,2-ethanediol and 1,2-propanediol Adipic acid, ethylene glycol, propylene glycol, toluene diisocyanate polymer Chemical Properties |
Safety & Hazards(Codes & Phrases) |
| More Safety & Hazards From PubChem | Signal, GHS Hazard Statements, Precautionary Statement Codes, etc. |
Literature |
| Literature on PubChem | Synthesis References, Metabolite References, etc. |
Patents |
| Patents on PubChem | Related Patents Of This Product |
Transportation, Storage & Usage |
| Transportation | No Information |
| Storage | No Information |
| Usage | No Information |
Spectral Properties |
| No Information |
Buy Reagent | |
| No reagent supplier? | Send quick inquiry to ChemWhat |
| Want to be listed here as a reagent supplier? (Paid service) | Click here to contact ChemWhat |
Approved Manufacturers | |
| Want to be listed as an approved manufacturer (Requires approvement)? | Please download and fill out this form and send back to approved-manufacturers@chemwhat.com |
Other Suppliers | |
| Watson International Limited | Visit Watson Official Website |
Contact Us for Other Help | |
| Contact us for other information or services | Click here to contact ChemWhat |


