HS-PEG8-CH2CH2COOH CAS#: 866889-02-3; ChemWhat Code: 1256538
Names & Identifiers |
| Product Name | HS-PEG8-CH2CH2COOH |
| Synonyms | HS-PEG8-CH2CH2COOH;1-Mercapto-3,6,9,12,15,18,21,24-octaoxaheptacosan-27-oic acid;O-(2-Carboxyethyl)-O’-(2-Mercaptoethyl)heptaethylene glycol >=95% (oligoMer purity);4,7,10,13,16,19,22,25-Octaoxaheptacosanoicacid, 27-mercapto-;HS-PEG8-CH2CH2COOH;Thio-PEG8-acid;Thiol-PEG8-acid;Thiol-PEG8-propionic acid |
| CAS Registry Number | 866889-02-3 |
| Molecular Formula | C19H38O10S |
| Molecular Weight | 458.56402 |
| EINECS | |
| Other Registry Numbers | |
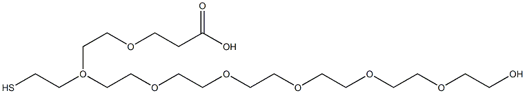
| IUPA Names, InChI, InChI Key, Canonical SMILES, etc.: | 866889-02-3.mol |
![]() |
|
Chemical & Physical Properties |
| Storage | ?20°C |
Safety & Hazards(Codes & Phrases) |
| More Safety & Hazards From PubChem | Signal, GHS Hazard Statements, Precautionary Statement Codes, etc. |
Literature |
| Literature on PubChem | Synthesis References, Metabolite References, etc. |
Patents |
| Patents on PubChem | Related Patents Of This Product |
Transportation, Storage & Usage |
| Transportation | No Information |
| Storage | No Information |
| Usage | No Information |
Spectral Properties |
| No Information |
Buy Reagent | |
| No reagent supplier? | Send quick inquiry to ChemWhat |
| Want to be listed here as a reagent supplier? (Paid service) | Click here to contact ChemWhat |
Approved Manufacturers | |
| Want to be listed as an approved manufacturer (Requires approvement)? | Please download and fill out this form and send back to approved-manufacturers@chemwhat.com |
Other Suppliers | |
| Watson International Limited | Visit Watson Official Website |
Contact Us for Other Help | |
| Contact us for other information or services | Click here to contact ChemWhat |


