Human CD155/PVR Protein, Accession#: P15151, CAS#: 3202-706-1636; ChemWhat Code: 1414149
Overview
| Product Description | Recombinant Human CD155/PVR Protein is expressed from HEK293 with hFc tag at the C-terminal.It contains Trp21-Asn343. |
| Biotinylated |
Specification
| Target | CD155/PVR |
| Synonyms | CD155; HVED; NECL5; Necl-5; nectin-like 5; PVR; PVS; Tage4; PVSFLJ25946; FLJ25946 |
| Gene/Protein ID (Accession) | P15151 |
| Species | Human |
| Exact Sequence | Trp21-Asn343 |
| Molecular Weight | The protein has a predicted MW of 61.8 kDa. Due to glycosylation, the protein migrates to 75-100 kDa based on Tris-Bis PAGE result. |
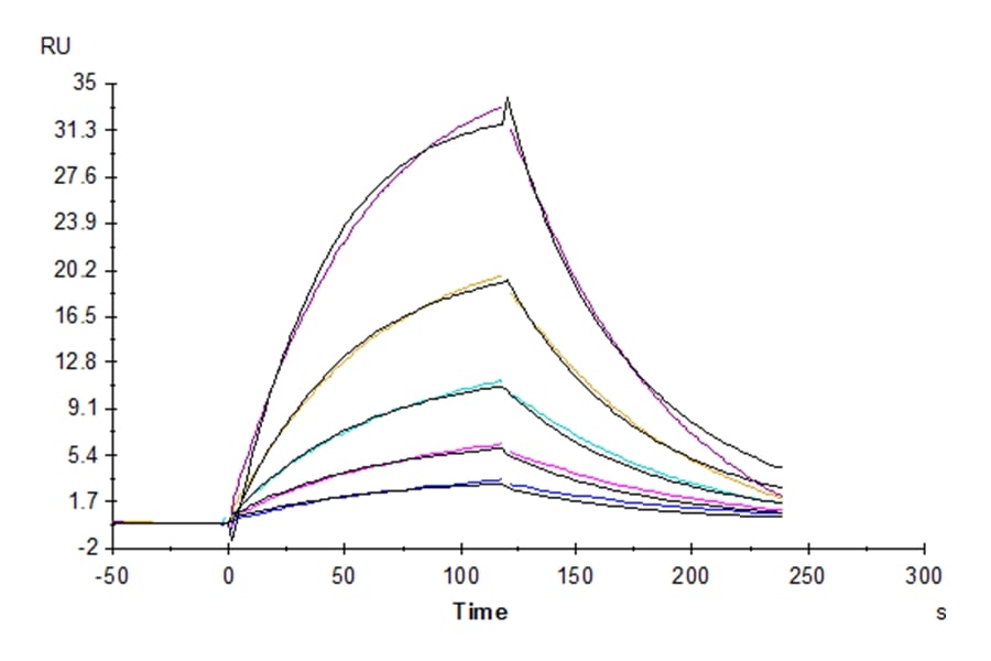
| Activity | Immobilized Human TIGIT, His Tag at 0.5ug/ml (100ul/Well) on the plate. Dose response curve for Human CD155, hFc Tag with the EC50 of 49.2ng/ml determined by ELISA (QC Test). The affinity constant of 0.958 uM as determined in SPR assay (Biacore T200). See testing image for detail. |
| Product Tag | C-hFc |
| Express System | HEK293 |
| Endotoxin | Less than 1EU per ug by the LAL method. |
Shipping, Reconstitution & Storage
| Form | Lyophilized |
| Shipping | Shipped at ambient temperature. |
| Formulation | Lyophilized from 0.22um filtered solution in PBS (pH 7.4). Normally 5% trehalose is added as protectant before lyophilization. |
| Reconstitution | Centrifuge tubes before opening. Reconstituting to a concentration more than 100 ug/ml is recommended. Dissolve the lyophilized protein in distilled water. |
| Stability and Storage | Reconstituted protein stable at -80°C for 12 months, 4°C for 1 week. Use a manual defrost freezer and avoid repeated freeze-thaw cycles. |
Validation Spectrums
| Spectrums | ![]() |
Buy Reagent | |
| ChemWhat 1414149 | > 95% as determined by Tris-Bis PAGE;> 95% as determined by SEC-HPLC |
| No reagent supplier? | Send quick inquiry to ChemWhat |
| Want to be listed here as a reagent supplier? (Paid service) | Click here to contact ChemWhat |
Approved Manufacturers | |
| Want to be listed as an approved manufacturer (Requires approvement)? | Please download and fill out this form and send back to approved-manufacturers@chemwhat.com |
Other Suppliers | |
| Watson International Limited | Visit Watson Official Website |
Contact Us for Other Help | |
| Contact us for other information or services | Click here to contact ChemWhat |

