Ibrutinib CAS#: 936563-96-1; ChemWhat Code: 1355840
Names & Identifiers |
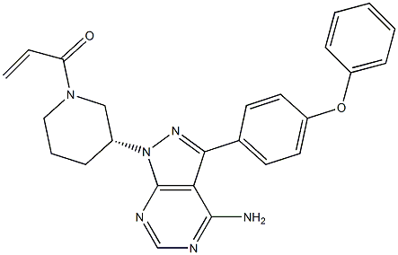
| Product Name | Ibrutinib |
| Synonyms | According to Lu imatinib;2-Propen-1-one, 1-[(3R)-3-[4-amino-3-(4-phenoxyphenyl)-1H-pyrazolo[3,4-d]pyrimidin-1-yl]-1-piperidinyl]-;(R)-1-(3-(4-Amino-3-(4-phenoxyphenyl)-1H-pyrazolo-[3,4-d]pyrimidin-1-yl)piperidin-1-yl)prop-2-;PCI-32765;1-[(3R)-3-[4-Amino-3-(4-phenoxyphenyl)-1H-pyrazolo[3,4-d]pyrimidin-1-yl]-1-piperidinyl]-2-propen-1-one;PCI-32765 (Ibrutinib);(R)-1-(3-(4-aMino-3-(4-phenoxyphenyl)-1H-pyrazolo[3,4-d]pyriMidin-1-yl)piperidin-1-yl)prop-2-en-1-one;1-[(3R)-3-[4-AMino-3-(4-phenoxyphenyl)pyrazolo[3, 4-d]pyriMidin-1-yl]piperidin-1-yl]prop-2-en-1-one |
| CAS Registry Number | 936563-96-1 |
| Molecular Formula | C25H24N6O2 |
| Molecular Weight | 440.5 |
| EINECS | 1308068-626-2 |
| Other Registry Numbers | |
| IUPA Names, InChI, InChI Key, Canonical SMILES, etc.: | IUPA Names, InChI, InChI Key, Canonical SMILES, etc. |
![]() |
|
Chemical & Physical Properties |
| Density | 1.34 |
Safety & Hazards(Codes & Phrases) |
| More Safety & Hazards From PubChem | Signal, GHS Hazard Statements, Precautionary Statement Codes, etc. |
Literature |
| Literature on PubChem | Synthesis References, Metabolite References, etc. |
Patents |
| Patents on PubChem | Related Patents Of This Product |
Transportation, Storage & Usage |
| Transportation | No Information |
| Storage | No Information |
| Usage | No Information |
Spectral Properties |
| No Information |
Buy Reagent | |
| No reagent supplier? | Send quick inquiry to ChemWhat |
| Want to be listed here as a reagent supplier? (Paid service) | Click here to contact ChemWhat |
Approved Manufacturers | |
| Want to be listed as an approved manufacturer (Requires approvement)? | Please download and fill out this form and send back to approved-manufacturers@chemwhat.com |
Other Suppliers | |
| Watson International Limited | Visit Watson Official Website |
Contact Us for Other Help | |
| Contact us for other information or services | Click here to contact ChemWhat |


