Iohexol CAS#: 66108-95-0; ChemWhat Code: 58596
Names & Identifiers |
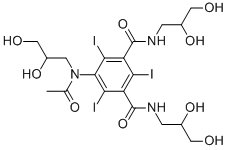
| Product Name | Iohexol |
| Synonyms | IOHEXOL;5-(N-2,3-DIHYDROXYPROPYLACETAMIDO)-2,4,6-TRIIODO-N,N’-BIS(2,3-DIHYDROXYPROPYL)ISOPHTHALAMIDE;5-(N-2-3-DIHYDROXYPROPYL-ACETMIDO)-2,4,6-TRIIODO-N,N’-BIS-(2,3-DIHYDROXYPROPYL)-ISOPHTHALAMIDE;NYCODENZ;N,N’-BIS(2,3-DIHYDROXYPROPYL)-5-[N-(2,3-DIHYDROXYPROPYL)ACETAMIDO]-2,4,6-TRIIODOISOPHTHALAMIDE;1,3-benzenedicarboxamide,5-(acetyl(2,3-dihydroxypropyl)amino)-n,n’-bis(2,3-dih;5-(n-dhp-acetamido)-2,4,6-triiodo-n,n’-bis-dhp-isophthalami;6-triiodo-ydroxypropyl)-4 |
| CAS Registry Number | 66108-95-0 |
| Molecular Formula | C19H26I3N3O9 |
| Molecular Weight | 821.14 |
| EINECS | 266-164-2 |
| Other Registry Numbers | |
| IUPA Names, InChI, InChI Key, Canonical SMILES, etc.: | IUPA Names, InChI, InChI Key, Canonical SMILES, etc. |
![]() |
|
Chemical & Physical Properties |
| Melting point | 254-2560C |
| Density | 1.078 g/mL±0.002 g/mL at 25 °C(lit.) |
| Storage | −20°C |
| More Properties From PubChem | Topological Polar Surface Area, Monoisotopic Mass, etc. |
Safety & Hazards(Codes & Phrases) |
| S Phrase | 22-24/25 |
| WGK Germany | 1 |
| RTECS | CZ2205000 |
| More Safety & Hazards From PubChem | Signal, GHS Hazard Statements, Precautionary Statement Codes, etc. |
Literature |
| Literature on PubChem | Synthesis References, Metabolite References, etc. |
Patents |
| Patents on PubChem | Related Patents Of This Product |
Transportation, Storage & Usage |
| Transportation | No Information |
| Storage | No Information |
| Usage | No Information |
Spectral Properties |
| No Information |
Buy Reagent | |
| No reagent supplier? | Send quick inquiry to ChemWhat |
| Want to be listed here as a reagent supplier? (Paid service) | Click here to contact ChemWhat |
Approved Manufacturers | |
| Want to be listed as an approved manufacturer (Requires approvement)? | Please download and fill out this form and send back to approved-manufacturers@chemwhat.com |
Other Suppliers | |
| Watson International Limited | Visit Watson Official Website |
Contact Us for Other Help | |
| Contact us for other information or services | Click here to contact ChemWhat |


