IRISH MOSS CAS#: 9062-07-1; ChemWhat Code: 1291805
Names & Identifiers |
| Product Name | IRISH MOSS |
| Synonyms | MOSS IRISH;CARRAGEENAN IOTA TYPE;CARRAGEENAN TYPE II;CARRAGEENAN TYPE V;I-CARRAGEENAN;IOTA-CARRAGEENAN;IOTA-CARRAGEENAN (TYPE II);IRISH MOSS |
| CAS Registry Number | 9062-07-1 |
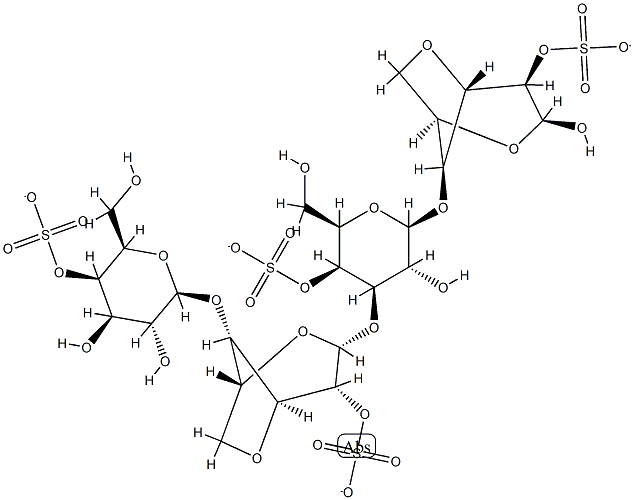
| Molecular Formula | C24H34O31S4-4 |
| Molecular Weight | 946.76816 |
| EINECS | 232-524-2 |
| Other Registry Numbers | |
| IUPA Names, InChI, InChI Key, Canonical SMILES, etc.: | 9062-07-1.mol |
![]() |
|
Chemical & Physical Properties |
| Solubulity | H2O: 5 mg/mL hot, soluble |
| form | Powder |
| Color | White to Pale Brown |
| Water Solubility | Partially soluble in water, Soluble in hot water. Insoluble in ethanol, in hot concentrated salt solutions. |
| Merck | 14,1858 |
Safety & Hazards(Codes & Phrases) |
| S Phrase | 24/25 |
| WGK Germany | 2 |
| F | 3 |
| More Safety & Hazards From PubChem | Signal, GHS Hazard Statements, Precautionary Statement Codes, etc. |
Literature |
| Literature on PubChem | Synthesis References, Metabolite References, etc. |
Patents |
| Patents on PubChem | Related Patents Of This Product |
Transportation, Storage & Usage |
| Transportation | No Information |
| Storage | No Information |
| Usage | No Information |
Spectral Properties |
| No Information |
Buy Reagent | |
| No reagent supplier? | Send quick inquiry to ChemWhat |
| Want to be listed here as a reagent supplier? (Paid service) | Click here to contact ChemWhat |
Approved Manufacturers | |
| Want to be listed as an approved manufacturer (Requires approvement)? | Please download and fill out this form and send back to approved-manufacturers@chemwhat.com |
Other Suppliers | |
| Watson International Limited | Visit Watson Official Website |
Contact Us for Other Help | |
| Contact us for other information or services | Click here to contact ChemWhat |


