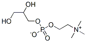
L-A-GLYCERYLPHOSPHORYLCHOLINE(GPC) CAS#: 4217-84-9; ChemWhat Code: 623822
Names & Identifiers |
| Product Name | L-A-GLYCERYLPHOSPHORYLCHOLINE(GPC) |
| Synonyms | L-A-GLYCERYLPHOSPHORYLCHOLINE(GPC);2-[[(S)-2,3-Dihydroxypropyl]oxy(oxylato)phosphinyloxy]-N,N,N-trimethylethanaminium;D-Glycero-3-phosphocholine;D-Glycerol 3-phosphorylcholine;D-Glycerolphosphocholine;D-Glycerophosphocholine;D-Glycerophosphorylcholin |
| CAS Registry Number | 4217-84-9 |
| Molecular Formula | |
| Molecular Weight | 0 |
| EINECS | |
| Other Registry Numbers | |
| More Identifiers on PubChem | IUPA Names, InChI, InChI Key, Canonical SMILES, etc. |
![]() |
|
Chemical & Physical Properties |
Safety & Hazards(Codes & Phrases) |
| More Safety & Hazards From PubChem | Signal, GHS Hazard Statements, Precautionary Statement Codes, etc. |
Literature |
| Literature on PubChem | Synthesis References, Metabolite References, etc. |
Patents |
| Patents on PubChem | Related Patents Of This Product |
Transportation, Storage & Usage |
| Transportation | No Information |
| Storage | No Information |
| Usage | No Information |
Spectral Properties |
| No Information |
Buy Reagent | |
| No reagent supplier? | Send quick inquiry to ChemWhat |
| Want to be listed here as a reagent supplier? (Paid service) | Click here to contact ChemWhat |
Approved Manufacturers | |
| Want to be listed as an approved manufacturer (Requires approvement)? | Please download and fill out this form and send back to approved-manufacturers@chemwhat.com |
Other Suppliers | |
| Watson International Limited | Visit Watson Official Website |
Contact Us for Other Help | |
| Contact us for other information or services | Click here to contact ChemWhat |


