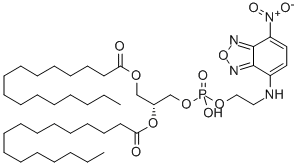
L-A-PHOSPHATIDYLETHANOLAMINE,*DIPALMITOY L, N-NBD CAS#: 92605-64-6; ChemWhat Code: 1303025
Names & Identifiers |
| Product Name | L-A-PHOSPHATIDYLETHANOLAMINE,*DIPALMITOY L, N-NBD |
| Synonyms | L-A-PHOSPHATIDYLETHANOLAMINE,*DIPALMITOY L, N-NBD;l-β,γ-dipalmitoyl-α-cephaline, 7-nitrobenzofurazan-labeled;Phosphatidylethanolamine 16:0, NBD-labeled, L-β,γ-Dipalmitoyl-α-cephaline, 7-nitrobenzofurazan-labeled, N-(7-Nitro-benzofurazan-4-yl)-1,2-dipalmitoyl-sn-glycero-3-phosphoethanolamine;NBD-PE (16:0), N-NBD-Dipalmitoyl-L-α-Phosphatidylethanolamine, 1,2-Dihexadecanoyl-sn-glycero-3-phospho-(N-[4-nitrobenz-2-oxa-1,3-diazolyl)ethanolamine;NBD-PE (16:0);N-NBD-Dipalmitoyl-L-α-Phosphatidylethanolamine;2(R),3-dipalmitoylglycero-1 -phospho-N-(7-nitro-2,1,3-benzoxadiazo1-4-y1)ethanolamine;N-NBD-Dipalmitoyl-L-α-Phosphati |
| CAS Registry Number | 92605-64-6 |
| Molecular Formula | C43H75N4O11P |
| Molecular Weight | 855.057 |
| EINECS | |
| Other Registry Numbers | |
| IUPA Names, InChI, InChI Key, Canonical SMILES, etc.: | IUPA Names, InChI, InChI Key, Canonical SMILES, etc. |
![]() |
|
Chemical & Physical Properties |
| Storage | −20°C |
| form | solid |
| Color | yellow |
Safety & Hazards(Codes & Phrases) |
| WGK Germany | 3 |
| F | 10-21 |
| More Safety & Hazards From PubChem | Signal, GHS Hazard Statements, Precautionary Statement Codes, etc. |
Literature |
| Literature on PubChem | Synthesis References, Metabolite References, etc. |
Patents |
| Patents on PubChem | Related Patents Of This Product |
Transportation, Storage & Usage |
| Transportation | No Information |
| Storage | No Information |
| Usage | No Information |
Spectral Properties |
| No Information |
Buy Reagent | |
| No reagent supplier? | Send quick inquiry to ChemWhat |
| Want to be listed here as a reagent supplier? (Paid service) | Click here to contact ChemWhat |
Approved Manufacturers | |
| Want to be listed as an approved manufacturer (Requires approvement)? | Please download and fill out this form and send back to approved-manufacturers@chemwhat.com |
Other Suppliers | |
| Watson International Limited | Visit Watson Official Website |
Contact Us for Other Help | |
| Contact us for other information or services | Click here to contact ChemWhat |


