L-ALPHA-GLYCEROPHOSPHORYLCHOLINE 1:1 CADMIUM CHLORIDE ADDUCT CAS#: 64681-08-9; ChemWhat Code: 940429
Names & Identifiers |
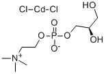
| Product Name | L-ALPHA-GLYCEROPHOSPHORYLCHOLINE 1:1 CADMIUM CHLORIDE ADDUCT |
| Synonyms | L-ALPHA-GLYCEROL-PHOSPHORYLCHOLINE CADMIUM CHLORIDE COMPLEX;GLYCEROPHOSPHORYLCHOLINE CADMIUM CHLORIDE COMPLEX;L-~-Glycerophosphorylcholine, cadmium chloride;sn-Glycero-3-phosphocholine 1:1 cadmium chloride adduct;(S)-dichloro[2-[[(2,3-dihydroxypropoxy)hydroxyphosphinyl]oxy]triethylmethylammoniumato]cadmium;L-A-GLYCEROPHOSPHORYLCHOLINE FROM*EGG YO LK 2:3 CADM;L-A-GLYCEROPHOSPHORYLCHOLINE FROM*EGG YO LK 1:1 CADM;l-α-glycerophosphorylcholine 1:1 cadmium chloride adduct from egg yolk |
| CAS Registry Number | 64681-08-9 |
| Molecular Formula | C8H20CdCl2NO6P |
| Molecular Weight | 440.54 |
| EINECS | 265-010-1 |
| Other Registry Numbers | |
| IUPA Names, InChI, InChI Key, Canonical SMILES, etc.: | IUPA Names, InChI, InChI Key, Canonical SMILES, etc. |
![]() |
|
Chemical & Physical Properties |
| Storage | 2-8°C |
| form | crystalline |
Safety & Hazards(Codes & Phrases) |
| Hazard Codes | T+,N |
| R Phrase | 45-46-60-61-25-26-48/23/25-50/53 |
| S Phrase | 53-28-36/37-45-60-61 |
| RIDADR | UN 2811 6.1/PG 3 |
| WGK Germany | 3 |
| More Safety & Hazards From PubChem | Signal, GHS Hazard Statements, Precautionary Statement Codes, etc. |
Literature |
| Literature on PubChem | Synthesis References, Metabolite References, etc. |
Patents |
| Patents on PubChem | Related Patents Of This Product |
Transportation, Storage & Usage |
| Transportation | No Information |
| Storage | No Information |
| Usage | No Information |
Spectral Properties |
| No Information |
Buy Reagent | |
| No reagent supplier? | Send quick inquiry to ChemWhat |
| Want to be listed here as a reagent supplier? (Paid service) | Click here to contact ChemWhat |
Approved Manufacturers | |
| Want to be listed as an approved manufacturer (Requires approvement)? | Please download and fill out this form and send back to approved-manufacturers@chemwhat.com |
Other Suppliers | |
| Watson International Limited | Visit Watson Official Website |
Contact Us for Other Help | |
| Contact us for other information or services | Click here to contact ChemWhat |


