L-SERINE-UL-14C CAS#: 5692-15-9; ChemWhat Code: 794939
Names & Identifiers |
| Product Name | L-SERINE-UL-14C |
| Synonyms | SERINE, L-, [14C(U)];L-[U-14C]SERINE;L-SERINE, [U-14 C];L-SERINE-UL-14C;L-serine-ul-14C mol. wt. 105.1;(S)-(+)-Serine-UL-14C;L-Serine-UL-14C hydrochloride |
| CAS Registry Number | 5692-15-9 |
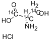
| Molecular Formula | C3H7NO3 |
| Molecular Weight | 111.15 |
| EINECS | |
| Other Registry Numbers | |
| IUPA Names, InChI, InChI Key, Canonical SMILES, etc.: | IUPA Names, InChI, InChI Key, Canonical SMILES, etc. |
![]() |
|
Chemical & Physical Properties |
| Storage | 2-8°C |
| form | aqueous ethanol solution |
Safety & Hazards(Codes & Phrases) |
| Hazard Codes | Xi |
| R Phrase | 36/37/38 |
| S Phrase | 26-36 |
| RIDADR | UN 2910 7 |
| WGK Germany | 3 |
| More Safety & Hazards From PubChem | Signal, GHS Hazard Statements, Precautionary Statement Codes, etc. |
Literature |
| Literature on PubChem | Synthesis References, Metabolite References, etc. |
Patents |
| Patents on PubChem | Related Patents Of This Product |
Transportation, Storage & Usage |
| Transportation | No Information |
| Storage | No Information |
| Usage | No Information |
Spectral Properties |
| No Information |
Buy Reagent | |
| No reagent supplier? | Send quick inquiry to ChemWhat |
| Want to be listed here as a reagent supplier? (Paid service) | Click here to contact ChemWhat |
Approved Manufacturers | |
| Want to be listed as an approved manufacturer (Requires approvement)? | Please download and fill out this form and send back to approved-manufacturers@chemwhat.com |
Other Suppliers | |
| Watson International Limited | Visit Watson Official Website |
Contact Us for Other Help | |
| Contact us for other information or services | Click here to contact ChemWhat |


