lasiocarpine CAS#: 303-34-4; ChemWhat Code: 354970
Names & Identifiers |
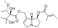
| Product Name | lasiocarpine |
| Synonyms | lasiocarpine;2-Butenoic acid, 2-methyl-, 7[[(2,3-dihydroxy-2-(1-methoxyethyl)-3-methyl-1-oxobutoxy] methyl]-2,3,5,7a-tetrahydro-1H-prrolizin-1-yl ester, [1S-[1alpha(Z), 7(2S*, 3R*), 7aalpha)]-;(Z)-2-Methyl-2-butenoic acid (1S)-7-[[[(2R)-2,3-dihydroxy-2-[(S)-1-methoxyethyl]-3-methylbutanoyl]oxy]methyl]-2,3,5,7aβ-tetrahydro-1H-pyrrolizin-1-yl ester;2-Methyl-2-butenoic acid 7-[[2,3-dihydroxy-2-(1-methoxyethyl)-3-methyl-1-oxobutoxy]methyl]-2,3,5,7A-tetrahydro-1H-pyrrolizin-1-yl ester;Aids002693;Aids-002693;Nsc30625;Lasiocarpin |
| CAS Registry Number | 303-34-4 |
| Molecular Formula | C21H33NO7 |
| Molecular Weight | 411.492 |
| EINECS | |
| Other Registry Numbers | |
| More Identifiers on PubChem | IUPA Names, InChI, InChI Key, Canonical SMILES, etc. |
![]() |
|
Chemical & Physical Properties |
| Melting point | 96.5-97.0℃ |
| alpha | D -4° (10% alc) |
| Density | 1.21±0.1 g/cm3 (20 ºC 760 Torr) |
| Stability: | Stable, but is readily hydrolyzed in basic solution and readily oxidized by oxidizing agents. Reacts slowly with atmospheric oxygen. |
Safety & Hazards(Codes & Phrases) |
| RIDADR | 1544 |
| Storage Class | 6.1(b) |
| Packing Group | III |
| More Safety & Hazards From PubChem | Signal, GHS Hazard Statements, Precautionary Statement Codes, etc. |
Literature |
| Literature on PubChem | Synthesis References, Metabolite References, etc. |
Patents |
| Patents on PubChem | Related Patents Of This Product |
Transportation, Storage & Usage |
| Transportation | No Information |
| Storage | No Information |
| Usage | No Information |
Spectral Properties |
| No Information |
Buy Reagent | |
| No reagent supplier? | Send quick inquiry to ChemWhat |
| Want to be listed here as a reagent supplier? (Paid service) | Click here to contact ChemWhat |
Approved Manufacturers | |
| Want to be listed as an approved manufacturer (Requires approvement)? | Please download and fill out this form and send back to approved-manufacturers@chemwhat.com |
Other Suppliers | |
| Watson International Limited | Visit Watson Official Website |
Contact Us for Other Help | |
| Contact us for other information or services | Click here to contact ChemWhat |


