LU 208075-d3 CAS#: 1189479-60-4; ChemWhat Code: 1065257
Names & Identifiers |
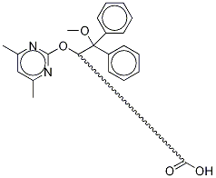
| Product Name | LU 208075-d3 |
| Synonyms | a-[(4,6-Dimethyl-2-pyrimidinyl)oxy]–(methoxy-d3)–phenylbenzenepropanoic Acid;BSF 208075-d3;LU 208075-d3;rac Ambrisentan-d3;α-[(4,6-DiMethyl-2-pyriMidinyl)oxy]-β-(Methoxy-d3)-β-phenylbenzenepropanoic Acid |
| CAS Registry Number | 1189479-60-4 |
| Molecular Formula | C22H22N2O4 |
| Molecular Weight | 378.42108 |
| EINECS | |
| Other Registry Numbers | |
| More Identifiers on PubChem | IUPA Names, InChI, InChI Key, Canonical SMILES, etc. |
![]() |
|
Chemical & Physical Properties |
| Melting point | 164-166°C (dec.) |
| Storage | Refrigerator |
Safety & Hazards(Codes & Phrases) |
| More Safety & Hazards From PubChem | Signal, GHS Hazard Statements, Precautionary Statement Codes, etc. |
Literature |
| Literature on PubChem | Synthesis References, Metabolite References, etc. |
Patents |
| Patents on PubChem | Related Patents Of This Product |
Transportation, Storage & Usage |
| Transportation | No Information |
| Storage | No Information |
| Usage | No Information |
Spectral Properties |
| No Information |
Buy Reagent | |
| No reagent supplier? | Send quick inquiry to ChemWhat |
| Want to be listed here as a reagent supplier? (Paid service) | Click here to contact ChemWhat |
Approved Manufacturers | |
| Want to be listed as an approved manufacturer (Requires approvement)? | Please download and fill out this form and send back to approved-manufacturers@chemwhat.com |
Other Suppliers | |
| Watson International Limited | Visit Watson Official Website |
Contact Us for Other Help | |
| Contact us for other information or services | Click here to contact ChemWhat |

