Marimastat CAS#: 154039-60-8; ChemWhat Code: 83587
Names & Identifiers |
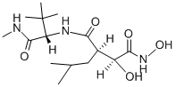
| Product Name | Marimastat |
| Synonyms | Marimastat;(2R,3S)-N1-((S)-3,3-dimethyl-1-(methylamino)-1-oxobutan-2-yl)-N4,3-dihydroxy-2-isobutylsuccinamide;(2S,3R)-N4-[(1S)-2,2-Dimethyl-1-[(methylamino)carbonyl]propyl]-N1,2-dihydroxy-3-(2-methylpropyl)butanediamide;(2R,3S)-N1-((S)-3,3-diMethyl-1-(MethylaMino)-1-oxobutan-2-yl)-N4;BB 2516;GI 5712;KB-R 8898;TA 2516 |
| CAS Registry Number | 154039-60-8 |
| Molecular Formula | C15H29N3O5 |
| Molecular Weight | 331.41 |
| EINECS | |
| Other Registry Numbers | |
| IUPA Names, InChI, InChI Key, Canonical SMILES, etc.: | IUPA Names, InChI, InChI Key, Canonical SMILES, etc. |
![]() |
|
Chemical & Physical Properties |
| Melting point | 148℃ |
| RTECS | EJ6665000 |
| Storage | Store at -20°C |
| Solubulity | DMSO: ≥20mg/mL |
Safety & Hazards(Codes & Phrases) |
| More Safety & Hazards From PubChem | Signal, GHS Hazard Statements, Precautionary Statement Codes, etc. |
Literature |
| Literature on PubChem | Synthesis References, Metabolite References, etc. |
Patents |
| Patents on PubChem | Related Patents Of This Product |
Transportation, Storage & Usage |
| Transportation | No Information |
| Storage | No Information |
| Usage | No Information |
Spectral Properties |
| No Information |
Buy Reagent | |
| No reagent supplier? | Send quick inquiry to ChemWhat |
| Want to be listed here as a reagent supplier? (Paid service) | Click here to contact ChemWhat |
Approved Manufacturers | |
| Want to be listed as an approved manufacturer (Requires approvement)? | Please download and fill out this form and send back to approved-manufacturers@chemwhat.com |
Other Suppliers | |
| Watson International Limited | Visit Watson Official Website |
Contact Us for Other Help | |
| Contact us for other information or services | Click here to contact ChemWhat |


