MESO-BUTANE-1,2,3,4-TETRACARBOXYLIC DIANHYDRIDE CAS#: 4534-73-0; ChemWhat Code: 507282
Identification
| Product Name | MESO-BUTANE-1,2,3,4-TETRACARBOXYLIC DIANHYDRIDE CAS#: 4534-73-0 |
| IUPAC Name | 3-(2,5-dioxooxolan-3-yl)oxolane-2,5-dione |
| Molecular Structure | |
| CAS Registry Number | 4534-73-0 |
| EINECS Number | 224-877-6 |
| MDL Number | MFCD00671500 |
| Beilstein Registry Number | No data available |
| Synonyms | 1,2,3,4-butane tetracarboxylic dianhydrideButan-1,2,3,4-tetracarbonsaeure-dianhydrid |
| Molecular Formula | C8H6O6 |
| Molecular Weight | 198.130 |
| InChI | InChI=1S/C8H6O6/c9-5-1-3(7(11)13-5)4-2-6(10)14-8(4)12/h3-4H,1-2H2 |
| InChI Key | OLQWMCSSZKNOLQ-UHFFFAOYSA-N |
| Canonical SMILES | C1C(C(=O)OC1=O)C2CC(=O)OC2=O |
| Patent Information | ||
| Patent ID | Title | Publication Date |
| WO2023/18987 | SMALL-PARTICLE SIZE POLYMERIC CHELATORS | 2023 |
Physical Data
| Appearance | Off-white powder to white powder |
| Melting Point, °C | Solvent (Melting Point) |
| 240 | |
| 172 – 173 | |
| 242 – 243.5 | acetic anhydride |
| 168 |
| Density, g·cm-3 | Reference Temperature, °C | Measurement Temperature, °C |
| 1.59 |
| Chromatographic data |
| TLC (Thin layer chromatography) |
Spectra
| Description (NMR Spectroscopy) | Nucleus (NMR Spectroscopy) |
| Chemical shifts, Spectrum | 1H |
| Chemical shifts, Spectrum | 13C |
| Description (IR Spectroscopy) | Solvent (IR Spectroscopy) |
| Bands | neat (no solvent, solid phase) |
| Description (UV/VIS Spectroscopy) |
| electrospray ionisation (ESI), high resolution mass spectrometry (HRMS), time-of-flight mass spectra (TOFMS), liquid chromatography mass spectrometry (LCMS), spectrum |
Route of Synthesis (ROS)
| Conditions | Yield |
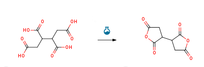
| With acetic anhydride In 1,4-dioxane at 40℃; for 3h; Temperature; Solvent; Inert atmosphere; Large scale; | 87.3% |
| With acetic anhydride; acetic acid In hexane |
Safety and Hazards
| Pictogram(s) | ![]() |
| Signal | Warning |
| GHS Hazard Statements | H302 (50%): Harmful if swallowed [Warning Acute toxicity, oral] H312 (25%): Harmful in contact with skin [Warning Acute toxicity, dermal] H315 (75%): Causes skin irritation [Warning Skin corrosion/irritation] H319 (100%): Causes serious eye irritation [Warning Serious eye damage/eye irritation] H332 (25%): Harmful if inhaled [Warning Acute toxicity, inhalation] H335 (25%): May cause respiratory irritation [Warning Specific target organ toxicity, single exposure; Respiratory tract irritation] Information may vary between notifications depending on impurities, additives, and other factors. |
| Precautionary Statement Codes | P261, P264, P264+P265, P270, P271, P280, P301+P317, P302+P352, P304+P340, P305+P351+P338, P317, P319, P321, P330, P332+P317, P337+P317, P362+P364, P403+P233, P405, and P501 (The corresponding statement to each P-code can be found at the GHS Classification page.) |
Other Data
| Transportation | NONH for all modes of transport |
| Under the room temperature and away from light | |
| HS Code | 294200 |
| Storage | Under the room temperature and away from light |
| Shelf Life | 2 years |
| Market Price | USD |
| Druglikeness | |
| Lipinski rules component | |
| Molecular Weight | 198.132 |
| logP | -1.348 |
| HBA | 6 |
| HBD | 0 |
| Matching Lipinski Rules | 4 |
| Veber rules component | |
| Polar Surface Area (PSA) | 86.74 |
| Rotatable Bond (RotB) | 1 |
| Matching Veber Rules | 2 |
| Use Pattern |
| It is a polyimide dianhydride intermediate. Replace PFAS in coatings and inks, it is widely used in textiles, surfactants, food packaging, non-stick coatings, fire-fighting foams and other fields. |
Buy Reagent | |
| No reagent supplier? | Send quick inquiry to ChemWhat |
| Want to be listed here as a reagent supplier? (Paid service) | Click here to contact ChemWhat |
Approved Manufacturers | |
| Want to be listed as an approved manufacturer (Requires approvement)? | Please download and fill out this form and send back to approved-manufacturers@chemwhat.com |
Other Suppliers | |
| Watson International Limited | Visit Watson Official Website |
Contact Us for Other Help | |
| Contact us for other information or services | Click here to contact ChemWhat |


