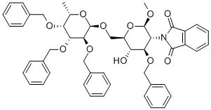
Methyl3-O-benzyl-6-O-(2,3,4-tri-O-benzyl-a-L-fucopyranosyl)-2-deoxy-2-phthalimido-b-D-glucopyranoside CAS#: 97242-86-9; ChemWhat Code: 1330598
| Methyl3-O-benzyl-6-O-(2,3,4-tri-O-benzyl-a-L-fucopyranosyl)-2-deoxy-2-phthalimido-b-D-glucopyranoside Basic information |
| Product Name | Methyl3-O-benzyl-6-O-(2,3,4-tri-O-benzyl-a-L-fucopyranosyl)-2-deoxy-2-phthalimido-b-D-glucopyranoside |
| Synonyms | Methyl3-O-benzyl-6-O-(2,3,4-tri-O-benzyl-a-L-fucopyranosyl)-2-deoxy-2-phthalimido-b-D-glucopyranoside;Methyl 2-Deoxy-6-O-[6-deoxy-2,3,4-tris-O-(phenylMethyl)-α-L-galactopyranosyl]- 2-(1,3-dihydro-1,3-dioxo-2H-isoindol-2-yl)-3-O-(phenylMethyl)-β-D-glucopyranoside;2-[5-hydroxy-2-methoxy-6-[[6-methyl-3,4,5-tris(phenylmethoxy)oxan-2-yl]oxymethyl]-4-phenylmethoxyoxan-3-yl]isoindole-1,3-dione |
| CAS Registry Number | 97242-86-9 |
| Molecular Formula | C49H51NO11 |
| Molecular Weight | 829.938 |
| EINECS | |
| Other Registry Numbers | |
| IUPA Names, InChI, InChI Key, Canonical SMILES, etc.: | IUPA Names, InChI, InChI Key, Canonical SMILES, etc. |
![]() |
|
| Methyl3-O-benzyl-6-O-(2,3,4-tri-O-benzyl-a-L-fucopyranosyl)-2-deoxy-2-phthalimido-b-D-glucopyranoside Chemical Properties |
Safety & Hazards(Codes & Phrases) |
| More Safety & Hazards From PubChem | Signal, GHS Hazard Statements, Precautionary Statement Codes, etc. |
Literature |
| Literature on PubChem | Synthesis References, Metabolite References, etc. |
Patents |
| Patents on PubChem | Related Patents Of This Product |
Transportation, Storage & Usage |
| Transportation | No Information |
| Storage | No Information |
| Usage | No Information |
Spectral Properties |
| No Information |
Buy Reagent | |
| No reagent supplier? | Send quick inquiry to ChemWhat |
| Want to be listed here as a reagent supplier? (Paid service) | Click here to contact ChemWhat |
Approved Manufacturers | |
| Want to be listed as an approved manufacturer (Requires approvement)? | Please download and fill out this form and send back to approved-manufacturers@chemwhat.com |
Other Suppliers | |
| Watson International Limited | Visit Watson Official Website |
Contact Us for Other Help | |
| Contact us for other information or services | Click here to contact ChemWhat |


