Momordioside F1 CAS#: 81348-81-4; ChemWhat Code: 1185759
Names & Identifiers |
| Product Name | Momordioside F1 |
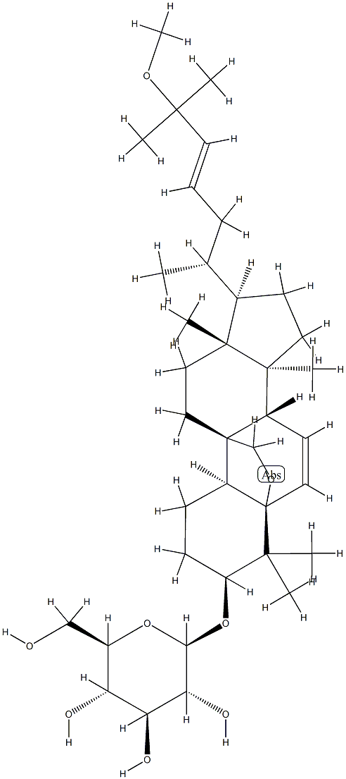
| Synonyms | (23E)-3β-(β-D-Glucopyranosyloxy)-25-methoxy-5,19-epoxy-5β-cucurbita-6,23-diene;(23E)-5,19-Epoxy-3β-β-D-glucopyranosyloxy-25-methoxy-5β-cucurbita-6,23-diene;Momordicoside F1;Momordioside F1;(3S,5R,8S,9S,10S,13R,14S,17R)-1,3,4,8,10,11,12,13,14,15,16,17-Dodecahydro-17-[(1R)-5-methoxy-1,5-dimethyl-3-hexenyl]-4,4,13,14-tetramethyl-5,9-(epoxymethano)-2H-cyclopenta[a]phenanthren-3-yl beta-D-glucopyranoside |
| CAS Registry Number | 81348-81-4 |
| Molecular Formula | C37H60O8 |
| Molecular Weight | 632.8675 |
| EINECS | |
| Other Registry Numbers | |
| More Identifiers on PubChem | 81348-81-4.mol |
![]() |
|
Chemical & Physical Properties |
Safety & Hazards(Codes & Phrases) |
| More Safety & Hazards From PubChem | Signal, GHS Hazard Statements, Precautionary Statement Codes, etc. |
Literature |
| Literature on PubChem | Synthesis References, Metabolite References, etc. |
Patents |
| Patents on PubChem | Related Patents Of This Product |
Transportation, Storage & Usage |
| Transportation | No Information |
| Storage | No Information |
| Usage | No Information |
Spectral Properties |
| No Information |
Buy Reagent | |
| No reagent supplier? | Send quick inquiry to ChemWhat |
| Want to be listed here as a reagent supplier? (Paid service) | Click here to contact ChemWhat |
Approved Manufacturers | |
| Want to be listed as an approved manufacturer (Requires approvement)? | Please download and fill out this form and send back to approved-manufacturers@chemwhat.com |
Other Suppliers | |
| Watson International Limited | Visit Watson Official Website |
Contact Us for Other Help | |
| Contact us for other information or services | Click here to contact ChemWhat |

