Mouse IgG1 Fc Protein, Accession#: P01868, CAS#: 3202-706-1590; ChemWhat Code: 1414103
Overview
| Product Description | Recombinant Mouse IgG1 Fc Protein is expressed from HEK293 without tag.It contains Val98-Lys324. |
| Biotinylated |
Specification
| Target | IgG1 Fc |
| Synonyms | IgG1; Igh-4; RGD1359539; VH7183 |
| Gene/Protein ID (Accession) | P01868 |
| Species | Mouse |
| Exact Sequence | Val98-Lys324 |
| Molecular Weight | The protein has a predicted MW of 25.7 kDa. Due to glycosylation, the protein migrates to 34-36 kDa based on Tris-Bis PAGE result. |
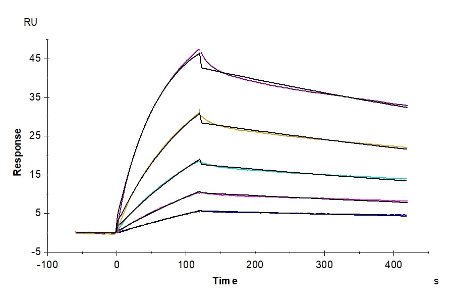
| Activity | The affinity constant of 15.09 nM as determined in SPR assay (Biacore T200). See testing image for detail. |
| Product Tag | No Tag |
| Express System | HEK293 |
| Endotoxin | Less than 1EU per ug by the LAL method. |
Shipping, Reconstitution & Storage
| Form | Lyophilized |
| Shipping | Shipped at ambient temperature. |
| Formulation | Lyophilized from 0.22um filtered solution in PBS (pH 7.4). Normally 5% trehalose is added as protectant before lyophilization. |
| Reconstitution | Centrifuge tubes before opening. Reconstituting to a concentration more than 100 ug/ml is recommended. Dissolve the lyophilized protein in distilled water. |
| Stability and Storage | Reconstituted protein stable at -80°C for 12 months, 4°C for 1 week. Use a manual defrost freezer and avoid repeated freeze-thaw cycles. |
Validation Spectrums
| Spectrums | ![]() |
Buy Reagent | |
| ChemWhat 1414103 | > 95% as determined by Tris-Bis PAGE;> 95% as determined by HPLC |
| No reagent supplier? | Send quick inquiry to ChemWhat |
| Want to be listed here as a reagent supplier? (Paid service) | Click here to contact ChemWhat |
Approved Manufacturers | |
| Want to be listed as an approved manufacturer (Requires approvement)? | Please download and fill out this form and send back to approved-manufacturers@chemwhat.com |
Other Suppliers | |
| Watson International Limited | Visit Watson Official Website |
Contact Us for Other Help | |
| Contact us for other information or services | Click here to contact ChemWhat |

